Під словом система слід розуміти сукупність принципів. які служать основою любого вчення. По відношенню до оплати праці система включає два напрямки: організацію праці та нарахування заробітної плати. Перше пов'язане з обліком відпрацьованого часу. а друге - з кількістю виконаної роботи. Тому система оплати праці розподіляється на дві форми: погодинна та відрядна, а вони в свою чергу мають різновидності.
Відрядна оплата праці - система заробітної плати, при якій заробіток залежить від обсягів виконаної роботи, потребує якості. Відрядна оплата праці має два різновиди: пряма відрядна та відрядно-преміальна. Різновид відрядної форми оплати праці є відрядно-прогресивна та акордна форми.
При прямій відрядній формі оплати праця працівника винагороджується по відрядних розцінках за одиницю обігу незалежно від рівня виконаних норм виробки.
Заробіток визначається помноженням обсягу якісно виконаних робіт на відрядну розцінку.
Непряма відрядна система праці – застосовується для оплати праці допоміжних робітників (підсобників). Заробітна плата підсобників залежить від результатів роботи основних робітників, яких вони обслуговують.
При відрядно-прогресивній оплаті праці робочого, об'єм робіт, виконаний сверх норми, сплачується по збільшених розцінках.
При відрядно-преміальній - виплачуються премії по відрядних розцінках сверх заробітку за досягнень результати роботи.
Відрядна заробітна плата може бути індивідуальною та груповою (бригадною). При останній заробітна плата за виконані роботи розподіляється між членами бригади пропорційно розрядах робітників та кількості відпрацьованих ними годин.
Акордна оплата праці - одна з форм заробітної плати, яка є різновидністю відрядної заробітної плати. Акордна заробітна плата нараховується на весь встановлений (узгоджений) обсяг робіт. Існує також акордно-преміальна оплата праці, при якій виплачуються премії за досягненні показники в роботі.
Для обліку вироботки робочих - підприємців застосовуються слідуючи документи:
- наряд на відрядну роботу, який може бути індивідуальним або бригадним;
- маршрутний лист та інші.
У наряді вказується обсяг вироблених робіт, сума заробітної плати, склад членів бригади, відпрацьований кожним час, розраховується коефіцієнт трудової участі у відповідності з яким розраховується премія робочим.
Наряд закривається по мірі виконання завдання: він підписується бригадиром.
Акордний наряд застосовується в бригадах "кінцевої продукції". Заробітна плата визначається відповідно до калькуляції, що прикладена до акордного наряду.
Недоліком наряду є те, що неможливо встановити. хто винен у виготовленні бракованих виробів. Усі недоліки наряду усуваються у маршрутному листі; там вказується весь технологічний ланцюг і можливо прослідити. на який операції був зроблений брак. Групуючий розрахунок проводиться у відомості або карточки.
Почасова заробітна плата - форма оплати праці, коли обсяг виконаної роботи не піддається обліку та нарахуванню. Відомі дві форми почасової оплати праці - проста почасова та почасово-преміальна.
При простій почасовій оплаті заробіток визначається виходячи з кількості відпрацьованого часу та кваліфікації працівника. Робітникам з почасовою заробітною платою сума заробітку визначається виходячи з годинної тарифної ставки та кількості відпрацьованих годин.
Впровадження ринкових відносин і відповідні структурні зміни в економіці потребують розроблення нових заходів щодо удосконалення системи оплати праці. Серед них важливе місце посідає впровадження погодинної оплати праці.
Основним напрямами соціальної політики України на 1997-2000роки передбачений поступовий перехід (починаючи з 1999 року) на погодинну оплату праці із застосуванням мінімального розміру погодинної заробітної плати.
Доцільно застосовувати таку систему оплати праці на підприємствах і в організаціях виробничої сфери, для яких основним критерієм ефективності виробництва є вимоги якості продукції при обмеженій її кількості.
Впровадження погодинної оплати праці відповідає інтересам певних верств населення. Не зайнятого на постійній основі, такого як: жінки з малолітніми дітьми, молодь, яка суміщає роботу з навчанням, інваліди, немолоді працівники, які мають обмежену працездатність і зацікавлені в роботі на умовах неповного робочого часу.
Погодинна оплата праці є однією із систем почасової форми оплати праці і передбачає проведення нарахування заробітної плати працівникам виходячи з погодинної тарифної ставки, яка встановлюється за домовленістю сторін або в колективному договорі, і фактичної кількості відпрацьованих ними годин за розрахунковий період.
Інженерно-технічні робітники отримують заробітну плату. нараховану згідно з встановленим окладом пропорційно відпрацьованого часу. Дні, в які робітник виконує державні або суспільні обов'язки, оплачуються в загальному порядку.
При почасово-преміальній оплаті додатково вводиться преміювання за якісне та своєчасне виконання завдань. Обов'язковою умовою преміювання є виконання місячного плану по технологічних етапах та обслуговування робітниками-почасовиками робочих місць, а також відсутність браку та простоювання машин та обладнання.
Премії робочим-почасовикам нараховуються по місячним результатах роботи пропорційно відпрацьованого часу. Їх межовий розмір не повинен перевищувати 70% заробітку по тариіних ставках.
Документом по обліку відпрацьованого часу робітниками з почасовою заробітною платою є табель. Табель служить для обліку та контролю робочого часу, нарахування заробітної плати при почасовій формі оплати праці, складання звітності про чисельність і склад працівників.
Існують слідуючи види заробітної плати: основна та додаткова.
При нарахуванні основної заробітної плати робітникам, яким установлена підрядна оплата праці, крім табелю необхідно мати відомості про виробітку та розцінки за виконану роботу.
Додаткова заробітна плата - ст. 105 КЗпП передбачено, що працівниками, які виконують на тому ж підприємстві, в установі, організації поряд зі своєю основною роботою, зумовленою трудовим договором, додаткову роботу за іншою професією або обов'язок тимчасово відсутнього працівника без увільнення від своєї основної роботи, здійснюється доплата за поєднання професій або виконання обов'язків тимчасово відсутнього працівника.
Розміри доплат за поєднання професій (посад) або виконання обов'язків тимчасово відсутнього працівника встановлюються на умовах, передбачених у колективному договорі.
При розрахунку заробітної плати робітників по тарифу годинну тарифну ставку потрібно помножити на кількість годин зміни. Розподіл заробітної плати при підрядній оплаті праці здійснюється трьома засобами: по коефіцієнту виробітку; по відпрацьованому часу, приведеного до першого розряду; по коефіцієнту трудової участі (КТУ).
Колективно-відрядна система оплати праці (бригадна) - це коли ту чи іншу роботу, виробництво продукції або надання послуг, за якими визначено відрядні розцінки, норми часу та виробітку, здійснює колектив (бригада).
У зв'язку з чим заробіток окремого кожного працівника, члена такого колективу (бригади) залежить від результатів роботи всього колективу (бригади) та його особистого внеску в результат такої роботи. Розподіл заробітку колективу (бригади) між його членами (працівниками) здійснюється, як правило, пропорційно відпрацьованому часу, кваліфікації працівників, коефіцієнту трудової участі (КТУ) та, можливо іншим показникам. Конкретний порядок розподілу заробітку між членами колективу (бригади) визначається у колективному договорі.
Розподіл загального заробітку бригади по відпрацьованому часу, приведеному до першого розряду є модифікацією першого способу. При цьому способі фактично відпрацьований час кожного робітника множимо на тарифний коефіцієнт присвоєного йому розряду. Сумування всіх результатів визначає загальну кількість робочого часу, приведеного до першого розряду по бригаді. Після цього розраховується норматив заробітку на 1 чол/год. шляхом ділення заробітку бригади на загальну кількість відпрацьованого часу, приведеною до першого розряду.
КТУ - це узагальнений показник, який відображає реальний вклад кожного члена бригади в загальні результати роботи з обліком індивідуальної продуктивності, якості праці та відношенні до праці. КТУ застосовується тільки до приробітку та премій, але не втрачаючи тарифної частини заробітної плати.
Показники, що підвищують КТУ:
- високий рівень виконаних виробничих завдань, застосування передових методів праці, виконання робіт по сумісним професіям, висока трудова активність, ефективне використання обладнання, забезпечуючи більш високу виробітку – підвищується до 0,5;
- висока професійна майстерність, яка виражається в більш високій якості робіт – підвищується до 0,25;
- керування звеном, ініціатива та попередження можливих простоїв робочих та обладнання, допомога та передача опиту, ефективне використання робочого часу – підвищується до 0,25.
Показники, що знижують КТУ:
- невиконання виробничих завдань, слаба інтенсивність праці, яка виражається у відставанні від загального рівня бригади, неефективне використання обладнання, інструменту – понижується до 0,5;
- недостатня професійна майстерність, яка виражається у виготовленні неякісної продукції, порушенні правил техніки безпеки і таке інше – понижується до 0,25;
- запізнення на роботу, передчасні уходи з роботи, невиконання розпоряджень бригадира та інші порушення, що негативно позначаються на результатах колективної праці – понижується до 0,25.
Максимальна величина КТУ по всіх трьох факторах для окремих членів бригади не може перевищувати:
КТУ = 2,0 = (1 + 0,5 + 0,25 + 0,25).
Мінімальна величина КТУ з урахуванням всіх знижуючих факторів для окремих членів бригади може бути:
КТУ = 0 = (1 – 0,5 – 0,25 – 0,25).
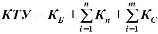
Тобто:

де
КТУ – коефіцієнт трудової участі;
КБ – базовий коефіцієнт;
КН – значення показників, підвищуючих коефіцієнт;
КС – значення показників, понижуючих коефіцієнт.
КБ при розподіленні колективної премії найчастіше береться за 1.
З урахуванням КТУ розподіляється:
- тарифна заробітна платня, що визначається пропорційно тарифній ставці і фактично відпрацьованому часу кожним робочим;
- відрядний приробіток (надтарифна частка заробітної платні, що утворюється за рахунок перевиконання норм виробітки у робочих – відрядників);
- колективна премія.
Праця керуючих, спеціалістів та службовців оплачується по окладо-почасовій формі у сполученні з різними видами преміювання.
На підприємстві застосовують оплату праці по трудових угодах. Трудова угода укладається між підприємством та робітником, який притягується зі сторони для виконання конкретної роботи, якщо її неможливо виконати силами підприємства або на договірних началах з відповідними підприємствами та організаціями.
Тепер широке розповсюдження знайшла оплата праці по контракту, яка заключається у домовленості сторін та пов'язується з виконанням умов контракту.
У випадках найма працівника по контракту власник або уповноважений ним орган може встановлювати за згодою робітника також умови оплати праці, які визначені у колективному договорі або у індивідуальному договорі.
Розподіл заробітної плати на системи, форми та види оплати та види заробітної плати має важливе значення для бухгалтерії, оскільки в залежності від цього визначається синтетичний облік, на який відносяться витрати по нарахуванню заробітної плати.
Згідно зі ст. 107 КЗпП, робота у святковий і неробочий день (частина четверта ст. 73 КЗпП) оплачується в подвійному розмірі:
- відрядникам за подвійним відрядними розцінками;
- працівникам, праця яких оплачується за погодинними ставками – в розмірі подвійної погодинної або денної ставки;
- працівникам, які отримують місячний оклад, - у розмірі одинарної погодинної або денної ставки понад оклад, якщо робота здійснювалася в межах місячної норми робочого часу, і в розмірі подвійної погодинної або денної ставки понад оклад, якщо робота здійснювалася понад місячну норму.
Оплата у вказаному розмірі здійснюється за години, фактично відпрацьовані у святковий і неробочий день.
За бажанням працівника, який працював у святковий і неробочий день, йому може бути надано інший день відпочинку.
Робота в нічний час оплачується у підвищеному розмірі, що встановлюється генеральною, галузевими (регіональними) угодами і колективним договором, але не нижче ніж 20 відсотків тарифної ставки (окладу) за кожну годину роботи у нічний час.
Оплата праці за незавершеним відрядним нарядом відповідно до ст. 109 КЗпП, у разі якщо працівник залишає відрядний наряд незавершеним з незалежних від нього причин, виконана частина роботи оплачується за оцінкою, визначеною за узгодженням сторін відповідно до існуючих норм і розцінок.
При невиконанні норм виробітку не з вини працівника оплата здійснюється за фактично виконану роботу. Місячна заробітна плата в цьому разі не може бути нижчою від двох третин тарифної ставки встановленого йому розряду (окладу).
При невиконанні норм виробітку з вини працівника оплата здійснюється відповідно до виконаної роботи (ст. 111 КЗпП).
Оплата часу освоєння нового виробництва (продукції) - на час освоєння нового виробництва (продукції) (ст. 113 КЗпП) власник підприємства або уповноважений ним орган може здійснювати оплату праці працівникам, які освоюють таке виробництво (продукцію), за середнім заробітком, розрахунок якого провадиться за раніше нарахованими заробітками. Середній заробіток може зберігатися не більше шести місяців.
Збереження заробітної плати при переведені на нижче оплачувану роботу і при переміщенні - за працівником зберігається середній заробіток, розрахунок якого провадиться за раніше нарахованими заробітками. Середній заробіток може зберігатися не більше двох тижнів від дня переведення.
Якщо внаслідок переміщення працівника у нього зменшився заробіток з не залежних від нього причин, то йому здійснюється доплата, сума якої визначається в розмірі втрат працівника у середньому заробітку. Така доплата призначається протягом двох місяців з дня переміщення працівника.
По мірі становлення ринкової економіки змінюються форми регулювання трудових відносин між працюючими і адміністрацією на підприємстві (включаючи питання оплати праці як основу цих відносин). Вони все більш спираються не тільки на державні законодавчі норми, що вони засновані на мінімальних гарантіях, скільки на колективні договори, що зобов'язують обидві сторони діяти у відповідності з прийнятими на себе зобов‘язаннями.
Щодо питань оплати праці це означає, що підставою для встановлення робітникові тарифної ставки чи окладу, що відповідають його кваліфікації, є не урядові постанови, а колективний договір, укладений між власником або уповноваженим ним органом та трудовим колективом у обличчі уповноваженого ним профспілкового або іншого органа. У відповідності до колективного договору визначаються і конкретні розміри доплат за умови, напруженість і інтенсивність праці, а також інші можливі виплати.
Договірне регулювання трудових відносин треба здійснювати не тільки на рівні підприємства, а і на рівні галузі.
Це дозволить уникнути великих різниць у рівні оплати праці працівників однакової кваліфікації. У цьому випадку розроблені на більш високому рівні єдині умови оплати праці повинні розглядатися підприємством як обов‘язкові у тому смислі, що воно не може встановлювати розмір оплати праці нижче, а можливо і нижче рівня, зафіксованих у розрізі професій та кваліфікацій в угоді.
З урахуванням опиту економіки розвинених країн в Україні прийняти ряд законодавчих актів, регулюючих трудові відносини. До їх складу відносяться закони:
- "Про підприємства в Україні" (Відомості Верховної Ради Української ССР, 1991 р., № 24, стр. 272);
- "Про колективні договори і угоди" (Відомості Верховної Ради України, 1993 р., № 36, стр. 361);
- "Про оплату праці "(Відомості Верховної Ради України, 1995 р., № 17, стр. 121);
- окремі закони України, які передбачують рішення по регулюванню трудових відносин у бюджетній сфері (народна освіта, охорона здоров‘я, наука, культура і таке інше);
- нормативні акти Кабінету Міністрів України з питань оплати праці, прийняті з урахуванням необхідності реалізації окремих питань законодавчих актів.
Схема 1. Форми оплати праці робітників.

Вибір системи оплати цілком і повністю є прерогативою роботодавця, але повинен бути оговорений з робітником у встановленому законодавством порядку. Адміністрація підприємства, виходячи із задач по випуску продукції, її якості і строкам постачання, можливостей впливу робітників на реалізацію наявних резервів виробництва з урахуванням їх статевих, вікових, професійно-кваліфікаційних та інших особливостей, розробляє конкретні системи оплати і пропонує їх до включення в колективний договір.
Профсоюз або інший, уповноважений трудовим колективом на переговори, орган може не погодитися із запропонованими системами тільки у разі, якщо вони потребують надмірної інтенсивності праці і погрожують нанести шкоду здоров‘ю робочого.
За засобом виміру кількості праці системи оплати класифікуються на відрядні (де кількість праці вимірюється кількістю виготовленої робітником продукції або виконаної роботи), почасові (де кількість праці вимірюється кількістю відпрацьованого робітником часу) і акордні (де кількість праці вимірюється відповідним результатом виконання робот). Крім того, може бути застосована система участі робітника в розподілі чистого доходу підприємства, але при умові, якщо це не суперечить установчим документам підприємства.
По формам вираження і оцінки результату праці системи оплати розподіляються на колективні (що базуються на оцінці колективної праці) і індивідуальні (що базуються на оцінці результатів праці окремого робітника).
По кількості показників, що беруться до уваги при оцінці вкладу праці робітників, системи оплати поділяються на однофакторні, тобто прості (проста відрядна і проста почасова), і многофакторні, тобто преміальні (відрядно-преміальна і почасово-преміальна, відрядно-прогресивна і таке інше).
По характеру впливу робітника на результат праці системи оплати поділяються на прямі і непрямі. Умови передбачаючи доцільність застосування відрядної оплати праці, відомі всім, це:
- наявність кількісних показників виробітки або виконаної праці, вірно відображаючи затрати праці робітника;
- наявність у робітників реальної можливості підвищувати виробітку або об‘єм робіт проти установленої норми в реальних технічних і організаційних умовах виробництва;
- наявність необхідності стимулювання росту виробітки продукції (послуг), підвищення об‘єму робіт або скорочення чисельності робітників за рахунок інтенсифікації праці робітників;
- можливість і економічна доцільність розробки норм праці і обліку виробітки робітників;
- відсутність негативного впливу відрядної оплати на рівень якості продукції (роботи), ступінь додержання технологічних режимів і вимог техніки безпеки, раціональність витрачання сировини, матеріалів і енергії.
Відсутність таких умов визначає застосування почасової форми оплати праці.
В умовах переходу до ринка на деяких підприємствах може з‘явитися тенденція до заміни відрядної оплати на почасову. Тарифна ставка почасовику, як і відряднику, повинна виплачуватися строго за виконання норми праці.
При цьому нормування праці робочих-почасовиків не слід обмежувати тільки встановленням їх чисельності на основі норм обслуговування або нормативів чисельності. При додержанні таких норм показники відповідної ланки, дільниці, цеху і таке інше можуть бути низькими. Цьому праця робітників з почасовою оплатою повинна нормуватися і оцінюватись на основі і деяких інших показників, що ураховують результати їх праці.
Такими показниками, по-перше, повинні стати нормовані (виробничі) завдання, що визначаються кожному почасовикові об‘єм робіт за зміну, неділю або місяць. Ці показники доцільно застосовувати на ручних і машинно-ручних роботах, а також у преривних, а іноді і безпреривних апаратерних виробництвах, де зберігається прямий вплив робітників на виробітку.
По-друге, такими показниками можуть стати планові норми або завдання по випуску продукції бригадою (ланкою, дільницею, цехом). Такі показники доцільні для робочих, що обслуговують конвейєрні лінії, системи машин, агрегати, де показники роботи кожного робочого не враховуються і індивідуальна норма вироботки (нормовані завдання) не встановлюються.
По-третє, норми праці робочим-почасовикам можуть бути обліковані у вигляді ступені виконання технологічних параметрів і режимів, норм рос ходу сировини, матеріалів і інших виробничих ресурсів, графіків виконання окремих видів робот. Такі показники доцільно застосовувати у строго регламентованих безперервних виробництвах, а також на багатьох роботах, що виконуються допоміжними робочими.
Важливою умовою ефективного застосування почасової форми оплати праці для всіх категорій робітників є розробка на підприємствах нормативів можливих досягнень. Ці нормативи можуть встановлюватись практично на всі показники виробничої і економічної діяльності ланок, ділянок, цехів, агрегатів, виробництв. Пропорційно ступені виконання цих завдань і повинна виплачуватись тарифна заробітна платня.
Необхідно також мати на увазі, що широке застосування почасової оплати потребує і високого організаційного забезпечення виробництва сировиною, матеріалами, напівфабрикатами, інструментами, енергією, транспортом, ремонтом і таке інше з боку технологічних і виробничих служб підприємства.
В умовах переходу на ринкові відносини необхідно дуже відповідально віднестись до організації колективних систем оплати праці, особливо підрядних і орендних колективів. Повинні враховуватись умови, визначаючи доцільність і необхідність колективних форм організації і оплати праці.
Найбільше вони доцільні там, де об‘єднання робітників у трудовий колектив визначаються технологічних, тобто для виконання одного технологічного циклу необхідні сумісні зусилля робітників а кінцеві результати виробництва є безпосереднім результатом колективної праці. Можливо відрізнити три основні групи робіт, що відповідять цім вимогам.
По-перше, це роботи по сумісному обслуговуванню апаратів, агрегатів, великого обладнання, збору і монтажу великих об‘єктів (виробів), а також багато видів тяжких робіт, що не можуть виконуватись окремими робітниками. Такі роботи характеризуються такою технологічною послідовністю окремих операцій загального технологічного комплексу, при якій нема можливості рівномірної завантаженості робітників протягом зміни тільки по їх спеціальності по причині різної трудомісткості окремих видів робіт.
Можливість комплексної взаємозаміняємості дозволяє зробити працю робочих не такою монотонною, що гарно відображається на підвищенні продуктивності праці. Тому, по-друге, це роботи конвеєрного типу, де досягнення кінцевого результату потребує для кожного робітника чіткого, синхронізованого по часу виконання своєї операції, а заміна на місцях (зверх нормативно необхідних) не дозволяються. В таких умовах кожний робітник безперебійно забезпечує фронт роботи іншим робітникам, об‘єм роботи кожного послідуючого робітника повністю залежить від роботи попереднього. Затрати праці жодного робітника відображається безпосередньо у кінцевих результатах виробництва і можуть бути виміряними кількість виготовлених готових виробів.
Список використаної літератури
1. Закон України "Про оплату праці".
2. Закони України, т. 1-8, Київ, 1999 р.
3. Грабова Н. М., "Теорія бухгалтерський обліку".
4. Завгородний В. П. "Бухгалтерський облік в Україні".
5. Собко А. В., Кузьмінський А. М., "Організація бухгалтерського обліку, контролю і аналізу".
6. Ткаченко Н. М. "Бухгалтерський фінансовий облік".
7. Баланс 2000р.
8. "Вісник податкової служби України" 1999р-2000р.
9. Все о бухгалтерском учете 2000р.
10. Галицькі Контракти 2000р.
11. Налоги и бухгалтерский учет.
12. Учебно-практическое пособие в двух частях. Библиотека бухгалтера –2000г.
13. Урядовий кур'єр, 1999 р.