Сьогодні існує нагальна потреба по-новому осмислити стан і завдання професійної підготовки спеціалістів у всіх галузях економіки та соціальної сфери, адже освіта, кваліфікація і майстерність зайнятих у процесі соціального виробництва людей прямо впливають на темпи формування матеріальних та духовних цінностей суспільства. Тому в сучасних умовах надзвичайно актуальною є проблема професіоналізму. Адже в країні значна кількість людей працює у політиці, економіці, сфері, управління, науці, у багатьох інших галузях, і їх праця є малоефективною.
“Накопичуючись, такий непрофесіоналізм веде до надзвичайних втрат у будівництві державності, економіці, зовнішній і внутрішній політиці, промисловості і сільському господарстві, в управлінні, у сфері виховання та освіти, в багатьох інших сферах життєдіяльності. Непрофесіоналізм сприяє зростанню напруженості у міжнаціональних відносинах, веде до підвищення числа міжособистісних конфліктів, психологічного дискомфорту у самопочутті людей” (4, 73 -74).
Сьогодні, коли перед суспільством постала необхідність приведення до нових умов його розвитку усієї системи народної освіти, зняття тих суперечностей, що склалися між наявним рівнем функціонування, освіти і завданнями, які їй необхідно вирішувати, особливого значення набуває проблема професіоналізму педагогічної діяльності.
Народна мудрість недаремно каже: “Що посієш, те й пожнеш”. Щоб отримати хорошого спеціаліста у певній галузі, слід пам'ятати, що лише вчитель чи викладач - справжній професіонал своєї справи - здатний забезпечити свого вихованця потрібними у майбутній професійній діяльності знаннями. Це підтверджується досвідом ряду розвинутих країн світу, у яких у другій половині нашого століття бути здійснені широкомасштабні проекти всебічної модернізації шкільного та вузівського навчання (передбачалось у першу чергу вдосконалення навчальних програм). Проте ці заходи не дали очікуваного ефекту що змусило спеціалістів і суспільство в цілому визнати, що значні зміни в галузі освіти можливі лише за умови підвищення професіоналізму як шкільних вчителів, так і викладачів вузів (5, 110).
“Ключ до розуміння ролі вчителя, яка змінюється, і нових вимог до підготовки вчителів один - це концепція професіоналізм” (8,42). Саме тому одним із основних шляхів реформування освіти, визначених Державною національною програмою “Освіта” (“Україна” XXІ століття”), є підготовка нової генерації педагогічних кадрів, безперервна освіта педагогічних працівників, підвищення їх професіоналізму, освітнього і загальнокультурного рівня.(І).
В останні роки зросте число наукових розробок, пов’язаних із вивченням діяльності педагога як фахівця, із дослідженням професіоналізму педагогічної діяльності. Парадигма цих проблем створює предмет педагогічної акмеології, що вивчає професійне становлення педагога, досягнення ним вершин у фаховій діяльності, шляхи і способи вдосконалення як професіонала.
Педагогічна акмеологія - галузь науки амеології (від грецьк. akme - вершина), яка виникла порівняно недавно на межі природничих, суспільних та гуманітарних дисциплін і вивчає “... феноменологію, закономірності і механізми розвитку людини на ступені її зрілості і особливо при досягненні нею найбільш високого рівня у цьому розвитку” (4, 73), а також, у більш вузькому розумінні - процес оволодіння людини професією.
Педагогічна акмеологія як науковий напрямок спирається на психолого-педагогічну концепцію, орієнтовану на вивчення людини як об'єкта комплексних досліджень, а саме як індивіда, особистості, суб'єкта діяльності та індивідуальності (Б.Г.Ананьєв, В.С.Мерлін, Б.А.Климов, Дк.Левінджер та ін.). У світлі цієї концепції людина розглядається як динамічна система, що постійно розвивається, змінюється, отримує нові особистісні й індивідуально - психологічні якості, які забезпечують широкі можливості соціальної і професійної адаптації.
Системоутворюючим фактором у комплексному дослідженні людини як суб'єкта праці, спілкування та пізнання у генезисі та розвитку е вихід на індивідуальність, яка визначається як “синтез властивостей замкненої системи, що саморегулюється” (Б.Г. Ананьєв) або як унікальне явище, що має власний світ, самосвідомість і саморегуляцію поведінки. Важливе методологічне значення у процесі становлення педагогічної акмеології мають також теорія про системно-структурний підхід (П.К. Днохін, М.А. Данилов, В.М. Малінін, В.П. Беспалько), теорія (функціонування педагогічних систем (Н.В. Кузьміна), теорія психологічної структури діяльності педагога (Н.В.Кузьміна).
На сьогодні у галузі педагогічної акмеології досягнуто певних здобутків. Намічено основні підходи та тенденції у вивченні суті і особливостей професіоналізму в цілому (Б.Г. Ананьєв, А.А. Бодальов, В.А. Бодров, В.С. Мерлін, К.М. Гуревич, Є.М. Іванова, Є.А. Климов, В.Д. Шадріков) та професіоналізму педагогічної діяльності зокрема (І.Д. Багаєва, А.О. Деркач, Н.В. Кузміна, А.О. Реан, В.В. Панчук та інші). Базуються на принципах операційного і системно-структурного вивчення явищ, порівняльного, кількісного, якісного та критеріального аналізу діяльності.
Хоча існують різні варіанти трактування професійного розвитку (диференційно-діагностичний (Ф.Парсонс, Г. Мюнстерберг, Т. Боген), психодинамічний (У.Мозер, Е.Бордін, Е.Роу), типолологічний (Д.Холланд) напрямки, напрямок теорії рішень (Х.Томе, Г.Рис, Д.Тідеман, О’Хара), теорія структурно-діахронічного розвитку особистості (Дж.Левінджер), теорія діяльності, орієнтованої на процеє (М.Чіксентмихайя), усе ж таки слід констатувати відносну єдність у визначенні суті професіоналізму як якісної характеристики суб’єкта діяльності, що визначається мірою володіння цим суб'єктом сучасним змістом і сучасними засобами розв'язання професійних завдань.
Професіоналізм - явище складне, що потребує багатокритеріального комплексного вивчення і разом з тим піддається вимірюванню, що дозволяє йому служити одночасно і предметом, і об'єктом акмеологічних досліджень. Під базовим критерієм професіоналізму розуміють кінцевий результат фахової діяльності, певне соціальне замовлення.
Чітко визначено зміст і сутність основних понять “професіоналізм педагогічної діяльності”, “базовий критерій професіоналізму педагогічної діяльності” (І.Д. Багаєва, Г.1. Кримська, Н.В. Кузьміна, А.О. Реан та ін.).
Професіоналізм педагогічної діяльності - це мистецтво педагога формувати у наявного складу учнів (студентів) готовність до продуктивного розв’язання завдань у подальшій системі засобами свого предмета (спеціальності) за час, відведений на навчально-виховний процес (7, 14). Таким чином, базовий критерій професіоналізму педагогічної діяльності - це здатність учнів (студентів) творчо використовувати отримані знання, вміння і навички для розв'язання-фахових і особистісних завдань.
Доведено, що суть професіоналізму педагогічної діяльності у тому, що, з одного боку, це інтегральна якість, властивість особистості, і, як будь-яка інша якість, вона формується з діяльності; з іншого боку - це процес і результат діяльності (6,58). Експериментальне підтверджено, що професіоналізм педагогічної діяльності характеризується особистісною і діяльнісною сутністю. Особистісну суть професіоналізму складають знання, необхідні для виконання професійної діяльності, специфічне ставлення педагога до об'єкта, процесу, умов фахової діяльності і необхідність самовдосконалення як професіонала.
Діяльнісну (процесуальну) суть професіоналізму складає комплекс умінь: гностичних, самовдосконалення, спілкування, вміння перебудовувати діяльність свою і учнів, реконструювати навчально-виховну інформацію з метою отримання очікуваного результату своєї праці (3, 15-Іб):
Розроблено і науково обґрунтовано модель професіоналізму педагогічної діяльності як динамічної системи, інваріантної щодо всіх педагогічних систем (3,15-16). Ця модель включає такі структурні елементи (див. мал.1):
- професіоналізм знань (ПЗ) - основа, базис професіоналізму в цілому;
- професіоналізм педагогічного спілкування (ПС) - готовність і й уміння використовувати систему знань на практиці;
- професіоналізм самовдосконалення (ПСВ), що забезпечує динамічність, розвиток цілісної системи “професіоналізм педагогічної діяльності” шляхом справедливого само оцінювання і оперативного усунення виявлених у процесі педагогічного спілкування особистісних недоліків і прогалин у необхідних для вчителя знаннях.
Малюнок 1. Модель професіоналізму педагогічної діяльності.

Слід зазначити, що подальші експериментальні дослідження (9) показали, що для забезпечення успішного функціонування системи “професіоналізм педагогічної діяльності” необхідно чітко визначити компоненти, які входять до вищезазначених складових цієї системи. Зокрема, якщо розглядати професіоналізм знань як міру оволодіння педагога цілою системою фахових знань (спеціальних знань з предмета (СЗ), педагогічних (ПЗ), методичних (МЗ), психологічних (ПСЗ), загальних (33) та рефлексивних (РЗ) (див мал. 2), то не сформованість хоча б одного.
Малюнок 2 Модель фахових знань педагога

З блоків цих знань призводить як до не сформованості професіоналізму знань, так і професіоналізму педагогічної діяльності в цілому.
Це ж стосується і професіоналізму педагогічного спілкування, під яким розуміють міру оволодіння педагога специфічними групами умінь, необхідних для організації спілкування на занятті, формами педагогічного впливу на учнів (студентів), нормами педагогічної етики (див, мал. З). Для структури педагогічного спілкування також
Малюнок 3. Модель педагогічного спілкування педагога.

Характерна взаємна інтерференція компонентів цієї моделі:
Проаналізовано особливості фахової діяльності педагогів у різних педагогічних системах (А.В. Барабанщиков, Г.К. Воєводська, З.Ф. Єсарова, Г.І. Кримська, Г.А. Лобич, В.В. Панчук, Л.Я. Радушкевич, О.В. Салкова, Г.Б. Скок, Дж.Глоссер та ін.). Досліджено взаємозв'язки між процесом становлення
професіонала та формування професіоналізму і індивідуальним стилем діяльності (Н.А. Амінов, К.М. Гуревич, Е.П. Ільїн, Е.М. Климов, А.Д. Коротаєв, В.С. Мерлін, Н.Ю. Посталюк, М.Р. Лукін та ін.), із професійними стереотипами (Б.З. Вульфов, Р.М. Грановська, Т.В. Форманюк та.ін.), із професійно значущими якостями та здібностями (А.Н.Капустіна, Н.В. Кузьміна, К.М. Левітан, В.Д. Шадріков, І.М. Юсупов та ін.). Є спроби дослідити особливості професіоналізму через призму філософсько-етичної парадигми, використовуючи поняття професійної компетентності, (Т.Г. Браже), професійної свідомості (Д.В. Ронзін, Л.В. Оборіна), професійної духовності (Б.З.Вульфов), професійної культури (Т.В. Іванова), які, втім, потребують окремого дослідження.
Визначено та науково обґрунтовано основні психолого-педагогічні фактори, що впливають на динаміку професіоналізму педагога (9;10). Під цими факторами розуміють основні внутрішні і зовнішні причини, що обумовлюють рух індивідуальності педагога до вершин професіоналізму і піддаються корекції або компенсації, на рівні педагогічних систем. На основі експериментального дослідження індивідуальних систем фахової діяльності викладачів різного рівня професіоналізму та теоретичного системного рівневого аналізу отриманих даних було виділено 16 факторів, які за змістом і рівнями впливу відносяться до трьох груп:
1. Об'єктивні фактори, пов'язані з умовами організації фахового середовища, на які педагог як професіонал не має безпосереднього впливу. До цієї групи відносяться:
- фактор мети вивчення того чи іншого предмета, його відповідності соціальному замовленню суспільства, на даному етапі;
- фактор інформаційно-методичного забезпечення;
- фактор матеріально-технічного забезпечення;
- фактур організації викладання того чи іншого предмета, що передбачає наявність достатньої кількості навчальних годин, неперевантаженість навчальних планів педагогів, комплектацій класів чи навчальних груп у залежності від рівня знань та здібностей учнів (студентів);
- фактор відбору та контролю фахівців, що передбачає адекватність відбору фахівців при прийомі на роботу та контролю за їх діяльністю, наявність, здорової конкуренції між педагогами, стимулювання: їх діяльності керівниками;
- фактор колективу, суть якого полягає у можливостях, встановлення відносин співпраці як на діловому, так і на особистісному рівнів.
2. Суб'єктивні фактори, тобто такі, що безпосередньо пов'язані з педагогом як суб'єктом фахової діяльності. Вплив цих факторів може свідомо регулюватися і коригуватися самим вчителем. У цю групу входять:
а) Фактор мети фахової діяльності, що передбачає орієнтири викладача:
- соціальне замовлення суспільства;
- програму викладання того чи іншого предмета;
- власні мотиви, потреби чи інтереси;
- навчання чи виховання.
Дослідження показало, що вершин професіоналізму досягають ті педагоги, у яких власні потреби і мотиви фахової діяльності, фахові цілі співпадають з соціальним замовленням суспільства, котре передбачає виховання через навчання і навпаки:
б) Фактор знань;
в) Фактор умілості;
г) Фактор фахової саморефлексії, що передбачає оцінку педагогом себе як професіонала залежить від:
- адекватності оцінки педагогом рівня свого професіоналізму;
- адекватності оцінки своїх фахово-особистісних якостей;
- адекватності оцінки педагогом своєї діяльності та діяльності колег та студентів;
- адекватності уявлення про фаховий ідеал;
- адекватності оцінки перспектив своєї фахової динаміки.
Експериментально доведено, що існує прямий зв'язок між рівнем професіоналізму педагога та рівнем фахової саморефлекції. Тому в педагогічних системах “підвищення кваліфікації викладачів” та “вища педагогічна освіта”, “перекваліфікація”, “перенавчання”, “до навчання” слід надавати велику увагу навчанню прийомам і методам самоконтролю і самопізнання, методам наукових досліджень з метою отримання реальних знань про себе і свою діяльність.
д) Фактор самовдосконалення, що передбачає такі чинники, як:
- потреба педагога у самовдосконаленні;
- бажання вдосконалити свій професійний рівень;
- практична діяльність, спрямована самовдосконалення (розширення блоків фахових знань, тренінг умінь і навичок, практичний аналіз і планування фахової діяльності, корекція фахових стереотипів).
У ході дослідження було встановлено, що характерною рисою педагогів вищого рівня професіоналізму е гостра, глибоко усвідомлювана ними потреба у самовдосконаленні. На відміну від інших, цим педагогам притаманна інтернальність самовдосконалення, тобто вміння знаходити у окладних умовах фахової діяльності внутрішні резерви і можливості здійснення практичної діяльності, спрямованої на досягнення фахового ідеалу. Тому самовдосконалення є чинником безпосереднього впливу на динаміку професіоналізму;
е) Фактор задоволеності фаховою діяльністю, який передбачає:
- задоволеність педагога співпрацею з учнями (студентами);
- взаємну, контактність педагога і учнів (студентів);
- інтерес до професії і його динаміку;
- характер ставлення педагога до професії;
- характер труднощів, з якими педагог зустрічається, у фаховій діяльності;
- сприйняття фахової діяльності як джерела насолоди, задоволення;
ж) фактор творчої актуалізації фахово-особистісного потенціалу викладача (нестандартне розв'язання фахових завдань, розширення рамок фахової діяльності).
з) Об’єктивно-cуб’єктивні фактори, які діють на всіх рівнях і безпосередньо впливають на об'єктивні і суб'єктивні фактори. До них відносяться:
і) Фактор ціннісного ставлення до професіоналізму, що полягає в недооцінці суспільної, фахової, особистісної, значущості професіоналізму як якісної характеристики діяльності, педагогічної, зокрема. (На всіх рівнях відсутня чітка система відбору і атестації кадрів при прийомі на роботу, відсутнє також заохочення, у тому числі матеріальне, фахівців високого рівня). Тому слід не тільки змінити уявлення про професіоналізм як про цінність, але й забезпечити умови для професійного зростання фахівців;
к) Фактор престижу педагогічної професії (падіння соціального статусу педагога);
л) Фактор соціальної домінантності педагога, що передбачає необхідність наявності високого рівня відповідальності за результати своєї праці, почуття обов'язку перед суспільством в цілому і перед окремими людьми.
У ході дослідження встановлено, що безпосередній вплив на динаміку професіоналізму педагогічної діяльності мають саме суб'єктивні фактори, а об'єктивні і об'єктивно-суб'єктивні - опосередкований.
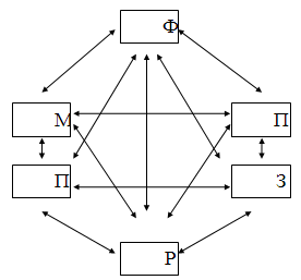
Разом з тим доведено, що існує не лише вплив однієї групи факторів на іншу, але й взаємний вплив факторів у межах групи, а також окремих факторів однієї групи на окремі фактори іншої групи. (див. мал. 4).
Малюнок 4. Взаємний вплив, об'єктивних, об'єктивно-суб'єктивних та суб'єктивних факторів.

Як видно із схеми, існує системний зв'язок між суб'єктивними та об'єктивно-суб'єктивними факторами як усередині груп, так і на рівні груп в цілому.
Група об'єктивних факторів-характеризується однобічністю впливу на групу суб'єктивних факторів і частковою однобічністю впливу на групу об'єктивно-суб'єктивних факторів (остання впливає на фактор мети вивчення предмета, фактор відбору та контролю фахівців, фактор колективу).
Високий рівень системності цього зв’язку може бути основою для часткової компенсації-негативного впливу об'єктивних факторів, що доведено в ході дослідження (а саме тим, що у процесі фахової діяльності педагоги вищого рівня професіоналізму підпадають під негативний вплив об'єктивних факторів за рахунок високого рівня фахової само рефлексії, самовдосконалення, ціннісного ставлення до фаху та інших суб'єктивних та об'єктивно-суб'єктивних факторів).
Тому на наш погляд, необхідно внести певні корективи у систему підготовки та перепідготовки педагогічних кадрів, що передбачають свідомий і цілеспрямований вплив на суб'єктивні та об'єктивно-суб'єктивні фактори. Разом з тим розробка технологій такого впливу може стати предметом подальших досліджень.
Таким чином, на сьогоднішній день педагогічна акмеологія успішно розвивається і має значні здобутки. Разом з тим є ще багато невирішених-проблем. До них ми відносимо розробку методичного інструментарію, що дозволятиме діагностувати досягнутий рівень професіоналізму як окремим педагогом, так і педагогічним колективом:
- дослідження діяльності колективів як цілісної фахової системи;
- лонгітюдне дослідження професійної кар'єри педагогів вищого рівня професіоналізму та авторських систем їх діяльності;
- розробку проблем, пов'язаних із механізмами формування у професіонала фахової мотивації, само рефлексії, потреби в актуалізації фахово-особистісного потенціалу.