Прогрес науки і техніки активно впливає на розширення і обновлення номенклатури та асортименту продукції, що випускається. Науково-технічний прогрес є основним фактором підвищення ефективності виробництва і впливає на всі сфери діяльності підприємства. Тільки завдяки прогресивним методам, організаційно-технічному оснащенню підприємства, застосуванню нових машин та електронних пристроїв, обчислювальних засобів можливо домогтися автоматизації та механізації виробничих процесів.
НТП сприяв розвитку нових організаційних, технічних та економічних форм і методів управління виробництвом та впровадженню системного підходу у вирішенні проблеми якості продукції.
В сучасних умовах переходу до ринкової економіки питання перебудови організаційних структур управління набувають особливу актуальність. Процес переходу до ринкової економіки потребує вирішення взаємозв'язаного комплексу складних проблем: проведення роздержавлення економіки і трансформація відносин власності, які забезпечують свободу діяльності, незалежність і економічну відповідальність виробників, забезпечення структурних зрушень та ін.
Перехідний період потребує ретельного підходу до перебудови існуючих організаційних структур, скрупульозного аналізу їх функцій. допомагаючи виробити найбільш ефективні, еластичні напрямки їх перебудови. Проводимі організаційні перетворення системи управління в попередні роки привели до значного зниження організованості в управлінні. В нашій країні іде процес створення нових організаційних структур управління підприємствами, різних форм власності на основі системного підходу вирішення проблем управління якістю продукції і виробництва в цілому.
Все мистецтво управління складається з того, щоб своєчасно врахувати і знати, де зосередити свої основні сили і увагу.
Гармонійне поєднання методів і прийомів, що застосовуються. нормативно-правових актів, підготовленого кадрового потенціалу і сучасної техніки забезпечує ефективну діяльність трудових колективів. Таке поєднання і взаємодія являє собою фундаментальну основу системи ефективної управлінської діяльності.
На відміну від методів управління виробництвом, які пропонувались у минулому, організаційно-економічні аспекти діяльності яких були занадто заполітизованими, в сучасних умовах йде пошук форм і методів, що сприяють підвищенню ефективності виробництва.
На основі вдосконалення системних методів управління та сучасних методів контролю якості продукції, можливо створити мінімальні матеріальні затрати виробництва, а завдяки впровадженню нових прогресивних технологій та автоматизації виробничих процесів вдається знизити трудомісткість, збільшити прибутки підприємства і покращити умови праці. Тільки керуючись новими принципами можливо домогтися підвищення рентабельності підприємства, що і призведе до підвищення економічної ефективності виробництва в цілому.
Саме таку мету було взято за основу досліджень, що проводились при написанні цієї дипломної роботи. За основу було взято теоретичне обґрунтування системних методів управління сучасним підприємством на прикладі Відкритого Акціонерного Товариства "Перечинського ЛХК". В роботі висвітлені деякі аспекти науково обґрунтованих методологічних основ контролю якості та метрологічного забезпечення виробництва. На конкретних прикладах, взятих з діяльності досліджуваного підприємства, показана роль і значимість методів управління та контролю якості продукції, проаналізовано перспективи удосконалення діяльності підприємства.
Висвітлюючи деякі аспекти впливу НТП на формування та реструктуризацію підприємства, в роботі також даються рекомендації щодо вдосконалення системи управління та подальшого функціонування підприємства з метою підвищення ефективності виробництва, забезпечення конкурентоспроможності продукції, що випускається.
Організаційно-технічні методи забезпечення якості продукції у сучасних умовах ринкової економіки
В сучасних умовах розвитку становлення України як незалежної держави, її ефективне входження до міжнародного економічного співтовариства можливе лише за умови забезпечення постачання на світовий ринок продукції, товарів і послуг конкурентоспроможного рівня.
Це завдання складне навіть в умовах нормального функціонування народного господарства. Нині його складність значно збільшилася через кризові процеси, що проходять в країні. Підсилюється тенденція до подальшого спаду виробництва продукції, погіршується її якість і, в першу чергу, у промисловій сфері, як результат зруйнування адміністративно командної системи управління, розриву господарських зв’язків і відсутності реальних механізмів ринкового регулювання, здатних обмежити розвиток інфляції, змусити до збільшення обсягів і різноманітності продукції та послуг, підвищення її якості і конкурентоспроможності, зниження витрат на виробництво.
Вирішенню цього завдання служать проголошена нова економічна політика і ті кардинальні економічні реформи, що проводяться. Спад в економіці буде зупинено, почнеться підйом промислового виробництва, і тоді виникне проблема виходу української продукції на світовий ринок, вирішення завдань забезпечення її конкурентоспроможності. Уже це може виявитися неможливим для виконання, якщо не буде підготовлена необхідна теоретична і методологічна база, яка в Україні для умов ринкової економіки майже відсутня. Тому наукові розробки і дослідження проблем забезпечення якості продукції саме для цих умов є дуже актуальними і представляють безсумнівний інтерес.
Особливу ж актуальність має розробка проблем забезпечення якості складних наукомістких виробів машинобудування, які у першу чергу визначають можливості виходу країни на світовий ринок.
Дослідження і розробка теоретичних, методологічних та інших аспектів забезпечення якості цих виробів, як яскравого представника сучасної наукомісткої і високотехнологічної продукції, можуть бути широко використані як найбільш спільні для вирішення проблем якості практично будь-яких видів промислової продукції, передусім. машинобудівної, і безпосередньо спрямовані на реалізацію кардинального реформування нашої економіки.
Все це вимагає нового ефективного науково обґрунтованого підходу для розробки нових форм і методів удосконалення систем забезпечення, а саме:
- Визначити найбільш важливі напрями удосконалення систем забезпечення якості промислової продукції із урахуванням особливостей цих виробів і запропонувати конкретні шляхи їх реалізації;
- Обрати і обґрунтувати науково-методичну базу побудови сучасних організаційних структур систем забезпечення якості;
- Розробити моделі складу і методи організації розробки систем забезпечення якості і побудови їх нормативно-технічної бази на основі стандартизації;
- Розробити на базі обраної методології і системного підходу функціональну і організаційну структуру систем метрологічного забезпечення виробництва і контролю якості продукції;
- Розробити методи визначення оптимальних обсягів і послідовності операцій технічного контролю, вибору контрольованих параметрів за інформаційним критерієм повноти контролю;
- Запропонувати методику вибору засобів метрологічного забезпечення контролю якості нової техніки за критерієм економічної ефективності.
На прикладах, взятих з діяльності машинобудівних та приладобудівних підприємств, можемо визначити оригінальні методи і засоби, що сприяють підвищенню ефективності виробництва, а саме:
- Запропонувати підхід до засобу забезпечення якості, який дозволяє комплексно вирішувати проблему якості як для етапу виробництва, так і для етапу експлуатації;
- Запропонувати нові методи і моделі складу і організації розробки систем забезпечення якості, побудови їх нормативно-технічної бази на основі стандартизації, що відповідають сучасним міжнародним вимогам, викладеним у стандартах ІSО серії 9000;
- Розробити методи визначення оптимальних обсягів і послідовності операцій виробничого контролю, вибору контрольованих параметрів виробів за інформаційним критерієм повноти контролю, що дають можливість вирішувати питання підвищення ефективності цих важливих функцій забезпечення якості на проектно-розрахунковій основі;
- Розробити методику вибору варіантів засобів метрологічного забезпечення технічного контролю за економічними критеріями.
Аналіз тенденцій розвитку методів забезпечення якості продукції вказують на те, що єдиним правильним підходом до вирішення проблем забезпечення якості продукції є створення на підприємствах спеціалізованих, професіональних систем забезпечення якості, які відповідають, як мінімум, вимогам міжнародних стандартів. Разом з цим необхідно побудувати структурну схему взаємодії служб по забезпеченню якості продукції, одна з яких зображена на рис. 1.
Алгоритм побудови таких схем наступний. Розглядаючи підприємства, як виробничо-господарські організації (ВГО), слід встановити основні системоутворюючі елементи, передусім, такі як. цілі і показники діяльності ВГО в галузі забезпечення якості продукції.

Сформувати структуру системоутворюючих елементів з врахуванням конкретних особливостей ВГО. Вона включає в себе структури як керованої, так і керуючих підсистем, які, у свою чергу, включають у себе, як ієрархічні підсистеми нижчого порядку, систему забезпечення якості та її підсистеми: техніко-методичного управління, технічного контролю продукції, метрологічного забезпечення виробництва та інші. Таким чином забезпечується єдиний науково-методичний підхід до формування структурних елементів.
Наявність загальної системної моделі ВГО та її управляючої підсистеми дозволяє збудувати модель складу вже конкретної системи управління якістю. На цій основі виділені наступні елементи, що визначають склад діючих систем забезпечення та управління якості продукції:
- зовнішня директивна, регламентуюча, правова і нормативно-технічна документація;
- звітна документація, ініціативні плани та пропозиції;
- організаційна система, що включає організаційну структуру і функціональні підсистеми управління якістю продукції;
- внутрішня організаційно-методична, регламентуюча і правова документація;
- загальне ресурсне забезпечення, в тому числі, методичне і теоретичне, алгоритмічне і програмне, технологічне, метрологічне і кваліметричне, матеріальне;
- інформаційне забезпечення, що включає інформаційно-методичне забезпечення, вхідну і вихідну інформацію про функціонування керованої системи;
- внутрішня управлінська документація щодо поточної діяльності елементів системи.
Модель складу системи забезпечення якості, що відповідає цим вимогам, приведена на рис. 2.

При цьому модель складу системи повинна будуватися за схемою замкнутого контуру управління і за прийнятою класифікацією цілей управління якістю продукції.
Однією з найважливіших проблем створення ефективно функціонуючих систем управління якістю продукції є раціоналізація їх розробки на основі системного підходу і врахування наступних стадій: впровадження, освоєння, експлуатації і модернізації. Вирішення зазначених питань пов'язано із створенням моделі організації розробки, впровадження і вдосконалення систем забезпечення якості. Ця модель базується на метології і досвіді проектування складних систем і систематизує процеси розробки з врахуванням особливостей об'єкта проектування.
Як показали дослідження і досвід, розробку системи забезпечення якості доцільно об'єднати у наступні взаємопов'язані етапи:
- перед проектна підготовка;
- ескізне проектування;
- технічне проектування;
- робоче проектування;
- експериментальне опрацювання і впровадження системи.
Взаємозв’язок робіт і етапів найкращим чином може бути визначено типовою сітьовою моделлю.
Ефективна діяльність щодо забезпечення якості продукції можлива лише за умови наявності розвиненої нормативно-технічної бази системи регламентуючої документації, така система повинна відповідати наступним принципам:
- забезпеченість дотримання регламентованих вимог;
- керованість, відкритість та динамічність;
- здатність до структуризації;
- організаційно-методична підготовленість на різних рівнях управління;
- типовість та уніфікованість елементів;
- узгодженість із системами регламентуючих документів більш високого рівня.
Аналіз існуючих форм регламентуючих документів показав, що вищезгадані принципи задовольняє система документів, ключовим елементом якої є стандарти підприємства (СТП), гармонізовані з міжнародними стандартами серії ІSО 900-10000.
Сучасна система забезпечення якості продукції має складну функціональну і організаційну структуру. В ній найбільш важливу, базову роль відіграють функції технічного контролю якості продукції і метрологічного забезпечення виробництва. Тому цим функціям і організаційним структурам, що їх реалізують, повинна приділятись підвищена увага.
У рамках організаційного аспекту якості зміни на базі загальної теорії системного проектування велика роль належить методичним основам побудови функціональної системи метрологічного забезпечення виробництва і формування організаційних структур контролю якості продукції. Це приведе до якісної зміни основних цілей метрологічної діяльності - переходу від вирішення окремих, суто обслуговувальних завдань щодо забезпечення вірогідності вимірювань, до вирішень цілого комплексу завдань, що суттєво впливають на функціонування підприємства і рівень кінцевих результатів, що призведе до підвищення ефективності роботи підприємства.
Економічна ефективність від впровадження сучасних методів контролю якості продукції
Якість продукції значною мірою залежить від ефективного контролю, який дозволяє не лише своєчасно виявляти брак і припинити надходження недоброякісної продукції до споживачів, але і впливати на процес поліпшення якості продукції. Контроль за якістю продукції на підприємстві ВАТ “Перечинський ЛХК” покладено на ЦЗЛ та його працівників - контролерів, обов'язками яких є перевірка продукції щодо відповідності стандарту, технічним умовам, кресленню, розподілу готової продукції на вищі та нижчі сорти, перевірка стану устаткування, інструменту та іншого на робочому місці.
При пасивному контролі установлюється лише відповідність (або невідповідність) різних параметрів якості продукції вимогам тих чи інших нормативних документів (НД), на основі чого готова продукція поділяється на придатну і непридатну (браковану).
При активному контролі результати контрольних вимірювань використовуються для корегування роботи устаткування та усунення інших причин, що спричиняють відхилення від вимог НД, і при цьому не лише фіксують появу браку, а й запобігають його повторенню.
Постачальники відповідають за якість продукції, яку вони постачають, але, оскільки вони не завжди забезпечують її високу якість, більшість промислових підприємств організують у себе вхідний контроль. Його особливість полягає у тому, що контролер, як правило, не знає умов виробництва у постачальника і не може безпосередньо впливати на процес виготовлення продукції. При поточному контролі здійснюється спостереження, оцінювання та регулювання ходу технологічного процесу. Наближення тих чи інших параметрів продукції до граничних значень свідчить про те, що у технологічному процесі часом можуть виникати неполадки. У цьому випадку слід вживати відповідних заходів, які б запобігли виникненню браку.
Cyцільний контроль у ряді випадків на ВАТ “Перечинський ЛХК” не можна застосовувати, оскільки у процесі контролю деякі вироби руйнуються або змінюють властивості. Але і для усіх інших виробів суцільний контроль коштує дорого, вимагає великих витрат часу. Тому неминучим є вибірковий контроль при якому перевіряється лише частина виробів з контрольованої партії. Вибірковий контроль доцільний лише в тому разі, якщо його режим старанно обґрунтований технічними та економічними міркуваннями.
З метою забезпечення високої якості продукції контрольні служби, а іноді і представники замовника здійснюють так званий "летючий" контроль усіх стадій виробництва, тобто контроль продукції або процесу, строк проведення якого не регламентований.
Винятково велику роль відіграє оперативний контроль за якістю продукції з боку майстрів, начальників цехів. Керівник, звичайно, не може контролювати все та замінити роботу контрольного персоналу та самоконтроль робітників. Тому він повинен вибрати невелику кількість найважливіших "точок" контролю робочих місць, операцій, видів продукції. Потрібно визначити також періодичність контролю. Мінімальна кількість найважливіших "точок" перевіряється щодня, а решта - щотижня, щодекади, раз у місяць або ще рідше.
Контроль за якістю продукції та дотриманням технології здійснюється працівниками технічного контролю підприємства, які реалізують такі види контролю: якістю надходження на підприємство сировини та напівфабрикатів, нагляд за правильністю їх маркування, складування та зберігання; дотриманням установленої технології та правильності оформлення відповідної документації щодо якості продукції; якістю внутрізаводської продукції (напівфабрикатів і заготовок) на відповідність їх галузевим стандартам, стандартам підприємства ВАТ “Перечинський ЛХК” і технічним умовам; якістю виробленої продукції на відповідність її державним, галузевим стандартам, технічним умовам і зразкам.
Розглядаючи динаміку впливу засобів вимірювальної техніки, в т.ч. спеціалізованих, на якісні показники виробів, потрібно відмітити, що найбільша ефективність досягається на тому підприємстві. Метрологічна служба якого найбільш розвинута. В цьому можна впевнитися на конкретних прикладах діяльності метрологічної служби таких галузей, які стоять вище середнього рівня як за оснащенням, так і за показником капіталовкладень (це приладобудівельна, радіоелектронна, машинобудівна, авіаційна промисловість, випуск космічних апаратів). Найбільша залежність від рівня розвитку засобів і методів контролю спостерігається в тих галузях, які мають вирішальний вплив на розвиток національної економіки.
На основі викладеного можливо встановити зв'язок між технічним рівнем та оснащеністю підприємств контрольно-вимірювальною технікою та підвищенням ефективності виробництва на підприємствах відповідної галузі.
Сучасне промислове виробництво - це складна система з переробки сировини та матеріалів, елементів і вузлів у спеціалізовану товарну продукцію. Проблеми цієї розгалуженої системи безперервно зростають у зв'язку з процесами, що розвиваються, ускладненням продукції, технологічних процесів та обладнання, а також механізацією і автоматизацією виробництва. В цьому стрімкому зростанні складності виробничих процесів важливу, а інколи і вирішальну роль відіграють сучасні засоби вимірювальної техніки та засоби контролю, які дозволяють об'єктивно оцінити дефекти структури матеріалу, придатність окремих елементів виробів, впровадити між операційний контроль, контроль параметрів комплектуючих деталей та готової продукції.
Якщо першим фактором підвищення ефективності виробництва є вдосконалення технологічних процесів та обладнання, то другим, не менш важливим фактором вважають удосконалення методів і засобів вимірювань та контролю, адже у вирішенні проблеми якості продукції важливу роль відіграють вимірювання, як джерело об'єктивної інформації про якісні показники продукції на всіх етапах виробничого процесу.
В умовах сучасного розвитку промисловості надзвичайне значення надається ефективному використанню нових високоефективних вимірювальних приладів і методів їх застосування, що сприяють підвищенню ефективності виробництва.
Існує декілька варіантів розрахунку економічної ефективності від впровадження нової вимірювальної техніки, однак найбільш прийнятною є методика, яка застосовується для розрахунку економічної ефективності від впровадження винаходів. При цьому враховуються всі статті витрат, які змінюються у зв'язку з використанням нових методів або вимірювальних пристроїв та інших технічних засобів.
Собівартість продукції є співвідношенням окремих елементів витрат та інших форм видатків до загальних витрат, яких потребує виробництво тієї чи іншої продукції, а саме: на придбання матеріалів, палива, амортизацію, оплату праці і т.д. Склад статей собівартості наведений у відповідних інструкціях з урахуванням діючих цін. Розрахунок економічної ефективності проводиться методом співставлення приведених витрат на виготовлення продукції до і після впровадження нового методу.
Приведені витрати - це сума собівартості та нормативного прибутку, тобто у загальному вигляді:
![]()
- де Z - приведені витрати одиниці продукції (послуги), грн.;
- С - собівартість одиниці продукції (послуги), грн.;
- Вн - нормативний коефіцієнт капітальних вкладень;
- К - питомі капітальні вкладення у виробничі фонди, грн.
Річна економічна ефективність розраховується за формулою:
![]()
- де Z1, Z2 - приведені витрати одиниці продукції до і після впровадження нової техніки, грн;
- Nр - річний обсяг виробництва продукції після впровадження нової вимірювальної техніки.
Маємо:

- де С1, С2 - собівартість одиниці продукції до і після впровадження нової вимірювальної техніки;
- К1, К2 - питомі капітальні вкладення у виробничі фонди до і після початку використання нової вимірювальної техніки.
При розрахунках беремо до уваги, що нормативний коефіцієнт Вн = 0,15.
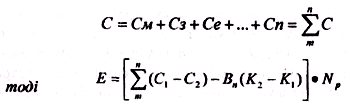
Собівартість одиниці продукції в наведеній формулі є сумою витрат, що змінюються, а не цехова або фабрично-заводська, і тим більше оптова ціна підприємства. Отже, якщо із застосуванням запропонованої нової вимірювальної техніки змінюються і витрати (на матеріали – См, заробітну плату – Сз, електроенергію - Се тощо), то собівартість буде сумою відповідних статей витрат:

Розрахунок приведених витрат за варіантами, пов'язаними з виробництвом та експлуатацією нових видів вимірювальної техніки, дає можливість достовірно визначити річний економічний ефект. Найбільш ефективним буде той варіант нової вимірювальної техніки. Із впровадженням якого буде досягнуто мінімальних сум витрат на виробництво того чи іншого пристрою, для виготовлення якого впроваджуються нові методи чи засоби нової техніки, чим буде забезпечено економію на цих витратах.
На аналізованому підприємстві ВАТ “Перечинський ЛХК” показник річної економічної ефективності по цеху №1 становить:
- Е = ((84 – 75) – 0,15 (31011-29400)) х 2300 = - 534980.
- По цеху №2: Е = ((65-63) – 0,15 (3445-3420)) х 3200 = - 5600.
- По цеху№3: Е = ((140-135) – 0,15 (41200-37560) х 1655 = - 89355.
Якщо впровадження нової вимірювальної техніки не потребує нових капіталовкладень, тобто К1 = К2 = 0, то економічну ефективність можна обчислити за формулою:
![]()
Так вираховується економічна ефективність впровадження нової вимірювальної техніки, наприклад, де використовуються спеціалізовані пристрої для потреб виробничого контролю, коли одні типи ЗВТ змінюються більш ефективними і дешевими, впровадження яких не потребує додаткових капіталовкладень.
Аналогічним методом розраховується також економічна ефективність від впровадження стандартизації, тобто співставленням витрат до і після введення нових стандартів.
У міжнародній практиці, як загальні вказівки щодо МЗ лабораторій МС, використовуються вимоги стандарту ISO 10012-1:1992 «Вимоги до забезпечення якості вимірювального обладнання. Частина 1. Система метрологічної відповідності вимірювального обладнання».
В цьому стандарті встановлені основні характеристики щодо використовуваної постачальником системи підтвердження свого вимірювального обладнання. Він поширюється на лабораторії, які використовують систему якості згідно до настанови ISO/IEC 25:1990, в т.ч. на калібрувальні лабораторії, постачальників продукції та послуг, які використовують систему якості, що передбачає застосування результатів вимірювань для доказу відповідності продукції та послуг встановленим вимогам, інші організації які використовують результати вимірювань як доказ відповідності встановленим вимогам.
Метрологічним підтвердженням відповідності ЗВТ є сукупність операцій для підтвердження того, що це ЗВТ відповідає вимогам при його використанні за призначенням. Воно, серед іншого, передбачає калібрування та необхідне юстування або ремонт з подальшим повторним калібруванням, а також усі необхідні види пломбування та етикетування. Вимірювальним обладнанням є усі ЗВТ, СЗ. допоміжні пристрої з Інструкціями (рекомендаціями), які необхідні для виконання вимірювань. У стандарті розглядається лише те вимірювальне обладнання, що використовується при випробуваннях і контролі.
Список використаної літератури
1. Азамат І.М., Дудич І.І., Молнар О.Б., Фединець М.І. Техніко-економічні показники якості продукції // В н.-т. зб. - К. - Ужгород, 1998. - №14. - С. 17-24.
2. Андрушків Б.М., Кузьмін О.Є.Основи менеджменту. — Львів: Світ, 1995.
3. Бойцов В.В. Основы стандартизации. - М.: Изд-во стандартов, 1988.
4. Боумэн К. Основы стратегического менеджмента: Пер. с англ. — М.: Банки и биржа: ЮНИТИ, 1997.
5. Величко О.М., Гало М., Дудич I.I., Молнар Ш.Б. Основи управління виробництвом та якістю продукції. – Ужгород: УжНУ, 2001.
6. Величко О.М., Дудич І.І. Основи метрології, стандартизації та контролю якості. Навчально-методичний посібник. — Ужгород: Видав. центр УжДУ, 1998.
7. Величко О.М., Дудич І.І. Стандартизація і контроль якості. Програма, методичні вказівки, план практичних занять і теми контрольних робіт для студентів економічних спеціальностей. - Ужгород: УжДУ, 1997.
8. Кардаш В.Я. Стандартизация и управление качеством. - К.: Вища школа, 1985.
9. Столярчук П.Г., Куць В.Р. Деякі погляди на можливість удосконалення методів оцінювання якості продукції. Науковий вісник. – Ужгород: Ужгород 2001.
10. Тарнавсъка Н.П., Пушкар Р.М. Менеджмент: теорія та практика. — Тернопіль: Карт-Бланш, 1997.
11. Терещенко В.Й. Организация й управление.— М.: Экономика, 1965.
12. Шегда А.В. Основы менеджмента: Учебное пособие. — К.: Товариство "Знання", КОО, 1998.