Планування інвестицій, визначення їх доцільності, прибутковості завжди є прогнозуванням майбутніх доходів і витрат, тобто грошових потоків. Чи однакову грошову вартість матиме дохід, скажімо, 10 тис. грн, який буде одержано цього року, і такий самий дохід через три роки?
Якщо маємо 10 тис. грн нині, то через рік, за умови, що зберігатимемо їх у банку під 5% річних, це вже буде 10,5 тис. грн, ще через рік — 11 тис. грн і т. д. А щоб мати через рік 10 тис. грн, сьогодні треба покласти в банк (мати в наявності) 9,5 тис. грн. Отже, у розрахунках, оцінках, порівняннях обсягів коштів, розділених часом, треба враховувати зміну їх вартості.
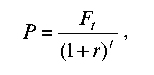
У загальному вигляді таке збільшення вартості грошей визначається формулою
Ft=P (l + ry, (1)
ReFt, P — вартість суми грошей відповідно у майбутньому і сьогодні; (1 + г У — коефіцієнт компаундування; г — банківська річна ставка; t — порядковий номер року (починаючи з наступного за поточним), якому відповідає значення Р.
Такий перехід від оцінювання нинішньої вартості грошей до їх вартості в майбутньому називається компаундуванням.
Зворотний процес отримання сьогоднішнього еквівалента вартості коштів, що мають бути в майбутньому, називається дисконтуванням. Загальна формула приведення обсягу коштів майбутнього періоду (Ft) до еквівалентного обсягу поточного року (Р) має такий вигляд:

Якщо рівень r прогнозується змінним для різних років, то формула приведення обсягу грошових надходжень у році t до поточного року матиме вигляд:

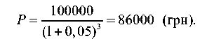
Приклад 1. Якому обсягу коштів сьогодні еквівалентна сума 100 тис. грн, що її одержать через три роки (річний процент — 5%)? За формулою (2) дисконтування

Приклад 2. Які кошти треба мати сьогодні, щоб через п’ять років повернути борг у сумі 500 тис. грн (банківський депозитний процент у перші два роки — 3,5%, у наступні три роки — 5%)?
Треба привести вартість майбутніх коштів (F) до поточного періоду (Р):

Приклад 3. Визначити доцільність двох проектів: маючи 100 тис. грн, купити будинок, аби продати його через п’ять років за 120 тис. грн., чи покласти ці 100 тис. грн у банк під 5% річних?
Інвестиції в нерухомість через п’ять років дадуть 120 тис. грн. Інвестиції в банківські депозитні сертифікати дадуть змогу одержати
100 • 10,055 = 128 тис. грн.
Порівняння одержаних величин свідчить на користь останнього проекту. Зауважимо надалі, що можливість використання грошей просто як вклад у надійному банку або іншим безризиковим способом, що приносить щорічні проценти приросту, є альтернативним варіантом використання інвестицій для будь-якого інвестиційного проекту. Цей принцип лежить в основі визначення чистої приведеної вартості проекту за допомогою дисконтування.
Приклад 4. Організація міні-пекарні вартістю 40 тис. грн має за прогнозованими розрахунками приносити упродовж п’яти років щорічний чистий прибуток у сумі 12 тис. грн. Чи доцільний цей проект?
Необхідно порівняти загальний прибуток за п’ять років і обсяг витрат 40 тис. грн. Визначимо сумарну за п’ять років вартість очікуваного прибутку (у тис. грн.), привівши кошти кожного року до умов того часу, коли ми маємо витратити 40 тис. грн інвестицій (ставку дисконту візьмемо 10%):

разом за п’ять років — 45,45 тис. грн.
Ця сума приведена до умов поточного року й може порівнюватися з обсягом інвестицій 40 тис. грн. Чистий приведений прибуток перевищує інвестиційні витрати на 5,5 тис. грн. Проект можна вважати доцільним.
Використання механізму дисконтування майбутніх грошових надходжень практично є методом порівняння доходу від проекту й доходу від вкладання тих самих грошей у банк під щорічний процент.
У наведеному прикладі організація міні-пекарні є прибутковішим варіантом, аніж вкладання грошей у банк. Але це не означає, що проект буде прийнятий інвестором. Його прибутковість слід перевірити за допомогою інших показників і порівняти з іншими проектами, які можуть бути в інвестора.
Показники ефективності інвестицій
Основним принципом оцінювання ефективності є порівняння обсягів доходів та витрат, що їх забезпечили. Обґрунтовуючи економічну ефективність інвестиційних проектів, застосовують комплекс показників, що відображають різні аспекти вже зазначеного принципу і дають змогу оцінити доцільність інвестицій системніше.
Для переходу до викладення порядку розрахунку показників наведемо їх умовні позначення:
- Р обсяг грошових надходжень від економічної діяльності об’єкта інвестицій після введення його в експлуатацію;
- В. — обсяг інвестицій, що потрібні для введення об’єкта в експлуатацію (витрати інвестиційні);
- Ве — обсяг поточних витрат діючого об’єкта, необхідних для виробництва товарів чи послуг, що виробляє створений об’єкт (витрати експлуатаційні);
- At — величина нарахованої за рік амортизації основних фондів, створених за рахунок інвестицій;
- Т кількість років життя проекту (експлуатація об’єкта та отримання доходів від інвестицій);
- t — індекс (порядковий номер) кожного року експлуатації об’єкта, t = 1, 2,..., Т.
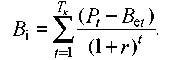
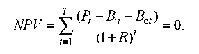
Чиста приведена вартість проекту (NPV) розраховується як сума щорічних обсягів доходів без витрат, приведених до умов поточного року:
Для прийняття проекту NPVm&z перевищувати нуль.
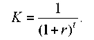
Термін окупності проекту (Тk) визначає кількість років, за які загальний приведений прибуток дорівнюватиме обсягу інвестицій. Він дорівнює такому t (Tk = t), при якому

Термін окупності має бути меншим від загального терміну життя проекту: Тk< Т. Тут Тk — кількість років, потрібних для того, щоб обсяг прибутку від інвестицій зрівнявся з обсягом В. (термін окупності); r — річна ставка дисконту, яка має використовуватися для приведення грошових надходжень майбутніх періодів до умов поточного року; #—коефіцієнт приведення,

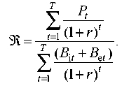
Коефіцієнт співвідношення доходів та витрат (SR) розраховується як дріб, де в чисельнику має бути сума приведених вартостей доходів від інвестицій за всі роки, а у знаменнику — сума приведених витрат:

Цей показник має перевищувати одиницю.
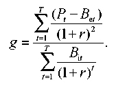
Коефіцієнт прибутковості проекту (g) розраховується як співвідношення чистої приведеної вартості доходів за період життя проекту та обсягу капіталовкладень:

Приймаються проекти, для яких коефіцієнт прибутковості як мінімум більший за одиницю.
Внутрішня норма прибутковості проекту (R) визначається як рівень ставки дисконтування (r), при якому чиста приведена вартість проекту (за період його життя) дорівнює нулю, тобто

Внутрішня норма прибутковості є межею, нижче за яку проект дає негативну загальну прибутковість. Розраховане для проекту значення R має порівнюватися з її нормативним рівнем Rn для проектів такого типу. Якщо R > Rn, проект може бути прийнятий, якщо R < Rn, проект відхиляється.
Значення R розраховується методом добору та перевірки послідовних значень r (r > Rn) з використанням комп’ютерних програм або графічно методом побудови функції залежності між NPVта r (рис. 53).

Для кожного проекту, залежно від критеріїв, якими керуються заінтересоване в ньому підприємство та його експерти, рівень Rn може бути різним залежно від макроекономічної ситуації у країні рівня ризиків у країні, галузі, проекту, середньої рентабельності діяльності підприємства-інвестора, вартості його капіталу, співвідношення позиченого та власного капіталу та з інших причин.
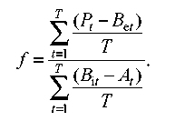
Фондовіддача проекту (f) розраховується як відношення середньорічного прибутку за весь період життя проекту до середньорічної залишкової вартості інвестицій за той самий період з урахуванням їх щорічного зношення:

Цей показник визначає рівень середньої віддачі (отримання прибутку) від кожної грошової одиниці використаних інвестицій.
Список літератури
- Федоренко В. Г. і К°. Інвестування. Зайнятість. Освіта. — К.: Науковий Світ, 2002.
- Федоренко В. Г. і К°. Шляхи підвищення ефективності інвестицій в Україні.: — К.: Науковий Світ, 2003.
- Федоренко В. Г. Інвестиційний менеджмент. —К.: МАУП, 1999.
- Федоренко В. Г. Інвестиції і капітальне будівництво в ринкових умовах. — К.: Міжнар. фінанс. агенція, 1998.
- Федоренко В. Г. Перспективи розвитку капітального будівництва за ринкових умов // Про приватизацію: Держ. інформ. бюл. — 1997. — № 2.
- Федоренко В. Г. Створення промислово-фінансових груп і проблеми управління корпоративними правами // Про приватизацію: Держ. інформ. бюл. — 1999. — № 2.
- Федоренко В. Г., Бондаренко Е. В. Будівництво та інвестиції в Україні. — К: Знання, 1998.
- Федоренко С. В. Проблеми залучення іноземних інвестицій і розвиток економіки України // Про приватизацію: Держ. інформ. бюл. — 1999. — № 2.
- Федотова М. А. Доходи предпринимателя. — М.: Финансьі и статистика, 1993. —96 с.
- Чернявский А. Д. Организация управления в условиях рыночных отношений. —К.:МЗУУП, 1994.
- Чернявский А. Д. Современные тенденции развития организационных форм управлення в Украине // Персонал. — 1997. —№4. — С. 3-7.
- Чернявский А. Д. Трансформация организационных форм управления в процессе развития рыночных отношений // Персонал. — 1996. —№2. — С. 22-36.
- Шевчук В. Я. Умови ефективного інвестування в будівництві. — К.: Будівельник, 1991. —112 с.
- Шпек Р. Іноземні інвестиції в Україні // Уряд, кур'єр. — 1996. — № 62. — 2 квіт. — С. 5.
- Щекин Г. В. К разработке концепции управления современным обществом // Персонал. — 1999. — № 1. — С. 1-23.
- Щукін Б. М. Інвестиційна діяльність. — К.: МАУП, 1998.