Під іноземною валютою розуміється як власне іноземні грошові знаки у вигляді банкнот, казначейських білетів, монет, що перебувають в обігу та є законними платіжними засобами на території відповідної держав, так і платіжні документи та інші цінні папери, виражені в іноземки валюті або монетарних металах.
Під валютній операціями розуміються операції, пов'язані з переходом права власності на валютні цінності, з використанням валютних цінностей в міжнародному обігу як засобу платежу, з передаванням заборгованостей та інших зобов'язань, предметом яких є валютні цінності, та операції, пов'язані з ввезенням (вивезенням), переказуванням і пересиланням на територію України або за її межі валютних цінностей.
Під торгівлею валютою розуміють купівлю-продаж іноземної валюти за національну або інші конвертовані валюти.
Купівля та продаж іноземної валюти здійснюється на валютному ринку. При цьому тут складається така система взаємовідносин:
- між комерційними банками та їх клієнтами у даній країні;
- між комерційними банками однієї і тієї ж країни;
- між комерційними банками різних країн;
- між комерційними та центральними емісійними банками;
- між центральними емісійними банками.
У першій ланці з цих сфер валютного ринку ведеться роздрібна торгівля іноземною валютою, а в решті - оптова торгівля. Торгівля валютою може здійснюватись комерційними банками на комісійних засадах або за власний рахунок.
Валюти розрізняють за двома ознаками:
1. Конвертованістю:
- вільно конвертована;
- неконвертована.
2. Строковістю:
- касова, або операція спот, при якій розрахунки між продавцем і покупцем валюти здійснюються не пізніше, ніж на другий робочий день після укладення угоди;
- строкова, або форвардна угода, що передбачає розрахунок між продавцем та покупцем валюти не раніше, ніж через два робочі дні після її укладення за курсом, зафіксованим в угоді.
І касовою і строковою угодою передбачається фіксація певного валютного курсу в момент її укладення. Касові угоди укладаються за поточним ринковим курсом - так званим спот-курсом валюти, а тому часто й сам ринок таких контрактів називають спотовим. Валютний курс, за яким здійснюються контракти на ринку строкових угод, називається форвардним курсом, а ринок відповідно - форвардним.
Більш складним різновидом форвардної угоди є угода своп, що укладається між банками і дозволяє їм тримати свою валютну позицію закритою, тим самим запобігаючи ризику зміни курсу валюти. Валютні операції своп полягають в одночасному проведенні двох протилежних за змістом операцій: купівлі (продажу) валютних коштів на умовах спот та продажу (купівлі) на умовах форвард.
Якщо продаж валюти проводиться на спотовому ринку і одночасно укладається угода про купівлю тієї самої валюти на форвардному ринку, то це валютна операція своп, що має назву репорт. Якщо ж ідеться про купівлю валюти на умовах спот у поєднанні з одночасним продажем на форварді, то відповідну операцію називають депорт.
Валютна позиція банку - це співвідношення між сумою активів та позабалансових вимог у певній іноземній валюті та сумою балансових і позабалансових зобов'язань у цій самій валюті. Різниця між сумою активів у іноземній валюті і пасивів у тій самій валюті називається експозицією щодо даної валюти. Експозиція визначає розмір валютного ризику, на який наражається банк внаслідок незбалансованості активів і пасивів в іноземній валюті. Чим більший розмір експозиції, тим більший валютний ризик існує в банку, і навпаки.
Валютна позиція банку буває закритою і відкритою. Валютна позиція називається закритою, якщо сума активів та позабалансових вимог збігається із сумою балансових та позабалансових зобов'язань у кожній іноземній валюті, а відкритою, - якщо сума активів та позабалансових вимог не збігається із сумою балансових і позабалансових зобов'язань.
Валютна позиція відкрита довга - це коли сума активів і позабалансових вимог перевищує суму балансових і позабалансових зобов'язань. Якщо відбувається навпаки, то відкрита валютна позиція називається короткою.
Валютна позиція банку визначається щоденно і окремо стосовно кожної іноземної валюти. На розмір відкритої валютної позиції банку впливають такі операції:
- купівля (продаж) готівкової та безготівкової іноземної валюти, як поточні так і строкові операції (на умовах своп, форвард, опціон та інші), за якими виникають вимоги та зобов'язання в іноземних валютах, незалежно від способів та форм розрахунків за ними;
- одержання (сплата) іноземної валюти у вигляді доходів або витрат та нарахування доходів і витрат, які враховуються на гривневих рахунках;
- купівля (продаж) основних засобів та товарно-матеріальних цінностей за іноземну валюту;
- надходження коштів в іноземній валюті до статутного фонду:
- погашення банком безнадійної заборгованості в іноземній валюті (списання, якої здійснюється з гривневого рахунку витрат):
- інші обмінні операції з іноземною валютою (виникнення вимог в одній валюті при розрахунках за ними в іншій валюті, в т. ч. і національній).
Валютна позиція виникає на дату операції з купівлі (продажу) іноземної валюти, а також нарахування доходів (витрат), зарахування на рахунки (списання з рахунків) інших доходів (витрат) та відповідно до перелічених операцій.
Обрахування загальної величини відкритої валютної позиції проводиться таким чином:
- визначається відкрита валютна позиція за кожною іноземною валютою як різниця між сумою активів за балансовими та позабалансовими рахунками та сумою пасивів за балансовими та позабалансовими рахунками. При цьому довга відкрита валютна позиція показується зі знаком плюс, а коротка відкрита валютна позиція - зі знаком мінус;
- довгі і короткі відкриті валютні позиції за кожною іноземною валютою переводяться в гривневий еквівалент за офіційним курсом НБУ;
- загальна величина відкритої валютної позиції банку дорівнює сумі абсолютних величин довгої та короткої відкритої валютної позиції банку у гривневому еквіваленті за кожною іноземною валютою.
Збалансованість активів і пасивів у іноземній валюті є одним із методів управління валютним ризиком. Зайнявши певну валютну позицію, можна отримати прибутки чи зазнати збитків внаслідок зміни валютного курсу, оскільки:
- довга валютна позиція приносить прибутки в разі підвищення курсу іноземної валюти і завдає збитків у разі його зниження;
- коротка валютна позиція приносить прибутки в разі зниження курсу іноземної валюти, але завдає збитків при підвищенні курсу.
Розмір прибутків і збитків залежить від розміру експозиції та змін у валютних курсах.
Управління валютною позицією банку може здійснюватися на основі структурного балансування активів та зобов'язань в іноземній валюті за строками і сумами, тобто методами натурального (природного) хеджування. До них відносяться: структурне балансування валютних потоків; зміна строків валютних платежів (випередження та відставання), дисконтування платіжних вимог в іноземній валюті тощо.
Обмеження величини валютної позиції також може бути досягнене методами штучного хеджування, які базуються на проведенні позабалансових операцій, таких як строкові валютні угоди, форвардні валютні контракти, валютні ф'ючерси, валютні опціони та валютні своп-контракти.
Комерційні банки відіграють головну роль на валютних ринках, оскільки вони:
- купують і продають іноземну валюту, що сприяє безперебійності розрахунків по міжнародних угодах;
- допомагають учасникам зовнішньоекономічної діяльності уникати чи зводити до мінімуму експозицію до іноземної валюти. Це ситуація, при якій експортер або імпортер піддаються впливу валютного ризику, тобто невизначеності фінансових результатів угоди.
Це досягається завдяки таким заходам:
- Введенню банківського рахунку в іноземній валюті.
- Наданню позички в іноземній валюті.
- Укладанню форвардних валютних угод. При цьому банк дає згоду продати або купити певну кількість іноземної валюти по фіксованому обмінному курсу для поставки її в майбутньому.
Експортери та імпортери можуть уникнути своєї експозиції до іноземної валюти шляхом фіксації зі своїм банком обмінного курсу наступних валютних надходжень або платежів.
Суми контрактів та тривалість форвардного періоду можуть довільними і визначаються в угоді за домовленістю сторін, відповідаючи їхнім потребам.
Основним питанням при укладанні форвардного валютного контракту є рівень обмінного курсу, який визначається на дату угоди і за яким операція купівлі-продажу валюти буде здійснена на дату валютування. Щоб не втратити значних коштів на форварді, учасникам бажано мати прогноз зміни валютних курсів і враховувати вплив відповідних чинників на процес формування форвардних валютних курсів.
Для європейських умов, коли котирування показує кількість валюти за один долар США, короткотерміновий (до року) форвардний курс можна розрахувати за формулою:
де: ФКВ/Д - форвардний курс валюти до долара США; СКВ/Д - спот-курс валюти до долара США; КВ - річна відсоткова ставка за даною валютою; КД - річна відсоткова ставка за доларом США; n - форвардний період у днях; Т - максимальна кількість днів у році за умовами договору.
Для розрахунку довготермінових форвардних курсів використовується формула:

Приклад. Іноземна фірма має намір вкласти 300000 доларів США на термін 6 місяців. Є два варіанти вкладення коштів: євродоларовий депозит під 8% річних або облігації внутрішньої державної позики уряду України під 23% річних. На дату інвестування спот-курс гривні становив USD/UAH = 2,9700.
Необхідно проаналізувати дохідність та рівень ризику кожного з напрямків вкладення коштів, а також переваги та недоліки укладання форвардного валютного контракту.
Розв'язок: У першому варіанті валютний ризик відсутній, оскільки іноземна фірма має у розпорядженні долари США і відсутня конвертація однієї валюти в іншу. Дохід фірми в цьому разі складе, доларів США:

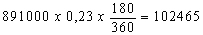
У другому варіанті фірмі необхідно обміняти долари США на гривні, що за спот-курсом складатиме 891000 грн. (300000 х 2,9700). Через 6 місяців буде одержано дохід у розмірі, грн.:
Після закінчення терміну інвестування необхідно конвертувати основну суму та одержаний дохід у долари США, але курс гривні на цей час може змінитися. Отже, за другого варіанта існує валютний ризик, пов’язаний зі зміною валютного курсу протягом 6 місяців.
При обміні доларів США на гривні в іноземної фірми утворюється відкрита довга позиція за гривнями, яка принесе дохід у разі підвищення курсу гривні і збитки - у разі його зниження. Якщо фірма вибирає цей варіант вкладення коштів, то їй необхідно вирішити: узяти на себе валютний ризик і залишити позицію відкритою чи хеджувати валютний ризик, уклавши форвардну угоду.
Якщо за 6 місяців курс не зміниться, то фірма отримає дохід у розмірі 34500 дол.. та не втратить коштів на основній сумі. При підвищенні курсу гривні до долара, фірма одержить додатковий дохід, який виникає в результаті узятого нею на себе валютного ризику та сприятливої кон’юнктури ринку. Але цей ризик може призвести і до недоодержання запланованого доходу через зниження курсу гривні.
Якщо фірма вирішує застрахувати валютний ризик, то вона має укласти форвардний контракт терміном на 6 місяців на суму 993465 грн. (891000 + 102465). Другий учасник угоди - український банк визначає форвардний курс гривні через 6 місяців. Для цього використовується формула:
Банк пропонує курс USD/UAH = 3,1842, і в разі згоди інвестора такий курс фіксується у форвардному контракті.
Через 6 місяців, одержавши за ОВДП загальну суму 993465 грн., фірма реалізує форвардний контракт і одержує, доларів США:
993465: 3,1842 = 311998,30 доларів США
Сума доходу в 11998,30 доларів США (311998,30 - 300000) майже дорівнює ставці за євродоларовим депозитом у 8%. Отже, операція хеджування валютного ризику захищає від збитків через несприятливу зміну курсу, але й виключає можливість одержання додаткових прибутків.
Укладення форвардного валютного контракту за курсом USD/UAH = 3,1842 не дає змоги іноземній фірмі скористатися значно вищим, ніж у євродоларовому депозиті, рівнем дохідності ОВДП. Але укладення форвардної угоди за будь-яким вищим курсом гривні до долара, ніж 3,1842, може надати можливість одержання вищої дохідності, ніж у євродоларовому депозиті.
Укладанню валютних опціонів. Вони дають власникам право (але не зобов'язання) купувати чи продавати в майбутньому визначену кількість іноземної валюти по фіксованому курсу обміну. Існує два типи валютних опціонів - опціони покупця і опціони продавця. Опціон покупця дає право купувати, опціон продавця дає право продавати.
Призначення валютних опціонів полягає в захисті власника від несприятливих коливань валютних курсів. Водночас, якщо валютний курс змінився у сприятливому для власника напрямку, то опціон дає можливість скористатись перевагами. У цьому разі власник може обміняти валюту за вигіднішим ринковим курсом, не користуючись опціоном.
Валютний опціон обмежує валютний ризик учасника ринку, пов'язаний зі змінами валютних курсів. Розмір ризику при використанні опціону як інструменту страхування валютних ризиків обмежується розміром опціонної премії. Премія, тобто вартість опціону, залежить від співвідношення спот-курсу валюти в момент укладення угоди та курсу опціону, а також від тривалості періоду дії опціону.
Приклад. Українська фірма 12 жовтня відвантажила товар, за який має одержати виручку на суму 700000 доларів США протягом листопада, але точна дата надходження коштів невідома. Після одержання коштів фірмі потрібно буде придбати гривні за долари США для закупівлі устаткування на ринках України. Протягом періоду з 12 жовтня по 30 листопада очікується підвищення курсу гривні відносно долара США.
З метою страхування валютного ризику фірма звертається до комерційного банку і укладає з ним опціонний валютний контракт на таких умовах: опціон продажу за доларами США на суму 700000 доларів США; термін з 01 по 30 листопада; ціна виконання USD/UAH = 2,5800; опціонна премія становить 50000 грн. Платіж у доларах США фірма одержала 26 листопада.
Необхідно визначити та проаналізувати результати опціонної валютної угоди при різних спот-курсах на дату отримання коштів:
- USD/UAH = 2,5800;
- USD/UAH = 2,6400;
- USD/UAH = 2,5000.
Розв'язок:
1. У першому варіанті виконання опціону не надає переваг фірмі, оскільки ціна виконання і спот-курс співпали. Фірма втратила опціонну премію в розмірі 50000 грн., для банку ця ж сума є доходом.
2. У другому варіанті, коли курс змінився до рівня USD/UAH = 2,6400, то фірмі вигідніше обміняти долари США за діючим курсом і одержати 1848000 грн. (700000 х 2,6400). У такому разі опціон втрачає свою доцільність. Фірма втрачає опціонну премію 50000 грн., але виграє завдяки падінню курсу гривні. Цей виграш становить 42000 грн. (1848000 - 1806000). Результат для фірми - втрата коштів у розмірі 8000 грн. (50000 - 42000). Сума доходів банку становить 50000 грн.
3. У третьому варіанті фірма пред'являє опціон до виконання і одержує 1806000 грн. (700000 х 2,5800). Якщо б фірма не придбала опціон, то 26 листопада при обміні доларів США за спот-курсом фірма одержала б 1750000 грн. (700000 х 2,5000). Виграш, як різниця між даними сумами, становить 56000 грн. (1806000 - 1750000).
Результат для фірми - виграш коштів у розмірі 6000 грн. (56000 - 50000), для банку - втрата коштів у розмірі 6000 грн. При підвищенні курсу гривні понад рівня 2,5000 фірма отримувала б більші прибутки від операції з опціоном, а банк, навпаки, - збитки.
Для проведення розрахунків за опціонною угодою відводять 2 робочі дні. Тому валютний опціон має бути пред'явлений до виконання його власником не пізніше як за 2 робочі дні до дати розрахунків за умови прийняття рішення про його виконання.
Використання валютних опціонів фірмами для страхування валютних ризиків доцільне у таких випадках:
- коли час та сума валютних надходжень і платежів точно не визначені, а отже, застосування форвардів та ф'ючерсів неможливе;
- при захисті експортних або імпортних товарів, які чутливі до зміни цін, виражених у конкретній валюті;
- при публікації прейскурантів на свої товари в іноземній валюті;
- для підтримки комерційної пропозиції на укладання контрактів із зарубіжним партнером, які оцінюються в іноземній валюті.
Для банків основними напрямками використання валютних опціонів є страхування відкритої валютної позиції та захист інвестиційного портфеля, деномінованого в іноземній валюті.
Основні поняття і терміни для закріплення матеріалу теми:
- Зовнішньоекономічний контракт - це матеріально оформлена угода двох або більше суб'єктів зовнішньоекономічної діяльності та їх іноземних контрагентів, якщо інше не встановлено законом або міжнародним договором країни, спрямована на встановлення, зміну або припинення їх взаємних прав і обов'язків у зовнішньоекономічній діяльності.
- Валюта ціни - це валюта, в якій встановлюється ціна контракту.
- Валюта платежу - це валюта, в якій здійснюється платіж.
- Котирування валюти - це встановлення валютних курсів.
- Пряме котирування - це визначення кількості національної валюти за одиницю іноземної);
- Непряме котирування - це визначення кількості іноземної валюти, що виражається в одиницях національної валюти.
- Крос-курс - це співвідношення між двома валютами, яке випливає з курсів цих валют до третьої валюти.
- Банківський переказ - це операція банку з виконання доручення клієнта по переведенню грошей в інший (зарубіжний) банк для виконання його грошових зобов'язань.
- Розрахунки по відкритому рахунку полягають у продажу товарів у кредит, при цьому в експортера немає гарантій одержання платежу від імпортера.
- Інкасо - банківська операція по стягненню грошових коштів з платника на користь одержувача на підставі письмового доручення останнього з наданням відповідних документів.
- Документарне інкасо - це доручення експортера (кредитора) своєму банку одержати від імпортера (платника) безпосередньо або через інший банк певну суму або підтвердження (акцепт) того, що ця сума буде сплачена в установлені терміни.
- Акредитив - це розрахунковий документ, що являє собою доручення одного банку іншому провести оплату товарно-транспортних документів за відвантажені товари чи надані послуги за рахунок заздалегідь визначених джерел коштів.
- Документарний акредитив - це грошове зобов'язання банку, яке виставляється на підставі доручення його клієнта-імпортера на користь експортера.
- Безвідзивний акредитив не може бути анульований (відкликаний) або змінений банком імпортера до наставання терміну без згоди експортера, на користь якого він відкритий.
- Відзивний акредитив дозволяє іноземному покупцеві, навіть після відвантаження товарів, змінити чи відмінити цей акредитив без попереднього повідомлення експортера.
- Непідтверджений акредитив означає, що банк експортера обмежується тільки повідомленням експортера про відкриття акредитива і платить тільки в тому випадку, коли банк імпортера перераховує йому відповідну суму.
- Підтверджений акредитив - це тверде зобов'язання двох банків, один з яких, як правило, знаходиться в країні експортера, а другий в країні покупця.
- Банківська гарантія - це безвідзивне зобов'язання банку виплатити певну суму у випадку, коли третя особа не зробить цього.
- Бенефіціар по гарантії - це особа, на користь якої виставлена гарантія.
- Іноземна валюта - це як власне іноземні грошові знаки у вигляді банкнот, казначейських білетів, монет, що перебувають в обігу та є законними платіжними засобами на території відповідної держав, так і платіжні документи та інші цінні папери, виражені в іноземки валюті або монетарних металах.
- Валютний ринок - це вся сукупність обмінних та депозитно-кредитних операцій в іноземних валютах, які здійснюються між юридичними та фізичними особами по ринковому курсу або відсотковій ставці.
- Торгівля валютою - це купівля-продаж іноземної валюти за національну або інші конвертовані валюти.
- Валютний курс - це ціна грошової одиниці даної національної валюти, виражена в грошових одиницях валюти іншої країни.
- Котирування валюти - це визначення її курсу.
- Спот - це розрахунок по валютній угоді протягом 2-х робочих днів після її укладення.
- Форвард - це розрахунок по валютній угоді більш ніж через 2 робочих дня після її укладення. Платежі здійснюються у встановлений термін за курсом, зафіксованим на момент угоди.
- Своп - валютні операції, що поєднують купівлю або продаж валюти на умовах готівкової операції "спот" з одночасним продажем або купівлею тієї ж валюти на строк по курсу "форвард".
- Валютний опціон - це право (але не обов'язок) продавця купувати або продавати визначену суму валюти за визначеним курсом на дату або до дати закінчення дії опціону
- Арбітраж означає можливість скористатись тимчасовою різницею цін валюти на двох ринках одночасно, а також, коли існує різниця між процентними ставками двох країн та різниця між поточним курсом та фючерним курсом валют.
- Валютна позиція банку - співвідношення між сумою активів та позабалансових вимог в певній іноземній валюті та сумою балансових та позабалансових зобов'язань в цій самій валюті.
- Експозиція - різниця між сумою активів у іноземній валюті і пасивів у тій самій валюті.
- Закрита валютна позиція - це коли сума активів та позабалансових вимог збігається із сумою балансових та позабалансових зобов'язань у кожній іноземній валюті.
- Валютна позиція відкрита - це коли сума активів та позабалансових вимог не збігається із сумою балансових і позабалансових зобов'язань у кожній іноземній валюті.
- Валютна позиція відкрита довга - це коли сума активів і позабалансових вимог перевищує суму балансових і позабалансових зобов'язань у кожній іноземній валюті.
- Валютна позиція відкрита коротка - це коли сума балансових і позабалансових зобов'язань перевищує суму активів і позабалансових вимог у кожній іноземній валюті.
- Валютний ризик - небезпека валютних втрат, зв'язаних із зміною курсу іноземної валюти стосовно національної валюти при проведенні внутрішньо торгівельних, кредитних та валютних операцій.