В економічній практиці широко застосовуються п'ять основних методів оцінки інвестиційної привабливості капіталовкладень:
- Метод чистої сьогоднішньої вартості (ЧСВ).
- Внутрішня норма рентабельності (ВНР).
- Метод періоду повернення вкладених інвестицій (ППВІ).
- Балансова норма рентабельності (БНР).
- Індекс прибутковості (ІП).
Для проведення аналізу переваг і недоліків використання кожного з них зупинимося спочатку на аналізі впливу часу на вартість грошей. Це пов'язано з тим, що при оцінці ефективності реалізації проекту необхідно врахувати специфіку інвестицій: кошти вкладаються в один момент часу, а виторг від реалізації проекту надходить у різні періоди.
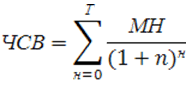
Метод чистої сьогоднішньої вартості (ЧВС). Загальну формулу ЧСВ для (n) років можна виразити так:

Якщо ЧСВ інвестиційного проекту більше 0, то такий проект може бути запропонований для реалізації. У тому разі, коли цей розмір менше 0, необхідно відмовитися від проекту.
Методика, використовувана для розрахунку ЧСВ, називається дисконтуванням. До переваг цього методу можна віднести:
- можливість найточніше враховувати зростання вартості майна акціонерів;
- можливість урахування впливу часу на грошові потоки, що надходять у результаті реалізації проекту;
- легкість використання методу спеціалістами;
- використання для розрахунку показника всього грошового потоку проекту;
- можливість використання різних рівнів вартості капіталу.
Внутрішня норма рентабельності (ВНР).
Теоретична основа. Метод внутрішньої норми рентабельності є досить простим і використовує здебільшого той самий математичний апарат, що й метод чистої сьогоднішньої вартості, тобто метод дисконтування. Внутрішня норма рентабельності - це така процентна ставка, при якій ЧСВ дорівнює 0. Є два методи пошуку ВНР - графічний метод і метод пробних розрахунків. Графічний метод полягає в пошуку двох показників ЧСВ при різних процентних ставках, при яких вони мали б позитивне або негативне значення. Потім ці точки відображаються на графіку і між ними проводиться пряма. Точка перетину цієї прямої осі ЧСВ і є величиною ВНР.
Метод пробних розрахунків складніший, оскільки потребує великої кількості розрахунків, але більш точний. Цей метод ще відомий як "метод пошуку лева в пустелі". Його сутність стисло можна сформулювати так: для того, щоб знайти лева, необхідно розділити ту частину пустелі, де перебуває лев,, на дві рівні частини. Після того, як така операція буде проведена кілька разів, можна з упевненістю визначити квадрат із левом. Те ж саме відбувається і при розрахунку ВНР. Переваги цього методу подібні до переваг методу ЧСВ:
- метод враховує чинник часу;
- для розрахунку ВНР використовується весь грошовий потік проекту;
- можливість визначити вартість капіталу, який може бути залучений до фінансування проекту.
До недоліків методу можна віднести такі його характеристики:
- знайти значення ВНР набагато складніше, ніж ЧСВ (часто для цього необхідний комп'ютер);
- при об'єднанні для здійснення двох або більше проектів показник ВНР нового сумарного проекту повинен обчислюватися наново - його не можна отримати шляхом додавання ВНР проектів складових;
- при використанні цього методу можна одержати кілька показників ВНР або жодного;
- метод не завжди спрямований на підвищення вартості майна акціонерів (наприклад, можливі випадки, коли проект із кращим показником ЧСВ матиме гірші показники ВНР порівняно з альтернативними проектами);
- досить складно розрахувати ВНР для всього терміну реалізації проекту;
- при розрахунку ВНР враховується, що гроші, отримані від проекту, ре інвестуються назад у проект під ставку ВНР. Це не так, тому потрібно бути дуже обережним з інтерпретацією цього показника, особливо в тому разі, коли він значно більший ніж обрана для проекту ставка дисконтування;
- цей метод неможливо застосовувати в разі потреби розрахувати ВНР для проекту, що використовує капітал різноманітної вартості.
Метод періоду окупності (ПО). За допомогою періоду окупності визначається термін, протягом якого інвестор може одержати назад внесені ним гроші. Цей метод був дуже поширеним у 70-ті роки в більшості країн світу, але і зараз він досить активно застосовується на практиці, особливо тоді, коли треба швидко проаналізувати ефективність невеликих за масштабом проектів.
Метод ПО звичайно використовують для порівняння альтернатив вкладення коштів. Крім того, його можна використовувати у тому разі, коли обсяги інвестицій незначні і не має сенсу проводити складні розрахунки та дослідження для пошуку ЧСВ. Цікаво, що метод ПО є єдиним методом оцінювання ефективності інвестицій, при якому можна не враховувати вартість залученого робочого капіталу. Це пов'язано з тим, що в будь який час, коли припиняється здійснення інвестицій (або вони скуповуються), можна відразу повернути залучений робочий капітал. Водночас цей метод неможливо застосувати під час розрахунку дисконтованого періоду окупності.
До переваг цього методу можна віднести такі:
- він дуже простий у застосуванні. Якщо розрахунок ВНР може проводити тільки підготовлений спеціаліст, то ПВВІ легко розраховується і не дуже кваліфікованим персоналом. Крім того, результати таких розрахунків будуть зрозумілими для більшості співробітників підприємства;
- метод дає можливість оцінити доцільність проекту з погляду його ліквідності, тобто визначити, як швидко можуть повернутися вкладені в нього кошти. Це також дає змогу оптимізувати структуру капіталу, особливо тоді, коли підприємство відчуває брак коштів для подальших капіталовкладень;
- завдяки методу можна автоматично відібрати менш ризиковані проекти (з погляду їх реалізації). Очевидно, що чим довше реалізується проект, тим він ризикованіший. Вибираючи проект з найкоротшим терміном існування, ми зменшуємо свій ризик;
- як відомо, досить складно розрахувати надходження коштів протягом, наприклад, десятирічного терміну. Метод ПВВІ дає можливість провести розрахунки тільки для того періоду, протягом якого доцільно реалізовувати проект.
До недоліків методу ППВІ можна віднести таке:
- він не враховує чинник часу (вихід із ситуації - можливість використання методу дисконтованого періоду повернення вкладених інвестицій);
- основна мета цього методу - не максимізація вартості майна акціонерів, а поліпшення ліквідності;
- метод ППВІ не враховує надходжень після закінчення терміну реалізації проекту;
- дані аналізу досить складно інтерпретувати при ухваленні рішення інвестувати чи не інвестувати проект, а також вирішуючи, під який відсоток можна залучити капітал для реалізації проекту. Тому доцільно використовувати його в сукупності з іншими методами (насамперед ЧСВ);
- у тому разі, коли вкладення коштів провадиться не тільки на початковому етапі реалізації проекту, а й у середині проекту, досить важливо визначити, який термін вважати періодом повернення інвестицій і який момент буде початковим для його розрахунку.
Балансова норма рентабельності. Цей метод є єдиним, у якому замість поняття грошового потоку використовуються балансові значення прибутку. Крім того, це найбільш неоднозначний метод. Існує кілька формул для його розрахунку, а сам метод має чотири різні назви:
- accounting rate of return (балансова норма рентабельності);
- average accounting return (середня балансова рентабельність);
- return on capital employed (рентабельність використаного капіталу);
- return on investments (рентабельність інвестицій).
Розрахунок цієї величини здійснюють такими способами:
- середній розмір прибутку, отриманий за період реалізації проекту, ділиться на середній розмір використаного капіталу;
- середній розмір прибутку, отриманий за період реалізації проекту, ділиться на початкову величину залученого капіталу.
До переваг цього методу можна віднести:
- розрахунок проводиться досить просто, а розмір коефіцієнта дається у відсотках, що легше сприймається співробітниками підприємства;
- доцільність реалізації проекту визначається на основі підрахунку прибутку проекту, що є зрозумілішим для керівництва підприємства;
- аналіз якості роботи керівництва досить часто проводиться за коефіцієнтами прибутковості використання капіталу, а не за величиною вартості майна акціонерів.
Перелік недоліків цього методу значно ширший:
- відсутня єдина процедура розрахунку коефіцієнта (як обсягу прибутку, так і величини капіталу, які застосовуватимуться у розрахунках);
- коефіцієнт розраховується у процентах і не враховує масштабу проекту;
- для розрахунку коефіцієнта використовується прибуток, а не грошовий потік, що є неправильною основою для прийняття рішення про доцільність інвестування;
- метод не враховує чинника часу;
- метод спрямований на підвищення балансового прибутку компанії, а не на підвищення вартості майна акціонерів;
- метод не дає точної бази для прийняття рішення про доцільність реалізації проекту. Він фактично може застосовуватися тільки при порівнянні кількох проектів для вибору кращого з них. Використання середнього рівня прибутковості капіталу підприємства для ухвалення рішення про інвестування може призвести до серйозної помилки, особливо в умовах інфляції й у разі реалізації ризикованого проекту. Показник балансової норми рентабельності не може застосовуватися для порівняння з коефіцієнтом дисконтування, який використовується для розрахунків іншого рівня.
Індекс прибутковості. Ще одним методом, що використовує дисконтування, є індекс прибутковості. Він розраховується так:
(СВ грошового потоку після початкового інвестування)/(обсяг грошової інвестиції).
Індекс прибутковості використовується в тому разі, коли в умовах обмежених фінансових ресурсів необхідно витрат найоптимальніший проект із погляду збільшення вартості майн акціонерів.
До переваг цього методу можна віднести:
- можливість у більшості випадків точно враховувати зростання вартості майна акціонерів;
- можливість враховувати чинник часу;
- легкість застосування фахівцями;
- використання для розрахунків показників усього грошового потоку проекту;
- можливість правильно вибрати об'єкти інвестування у разі обмеженості фінансових ресурсів підприємства;
- можливість використовувати при розрахунку ІП різні рівні вартості капіталу (відсотків).
До недоліків можна віднести:
- досить складно одержати дані для всього періоду реалізації проекту;
- у разі вибору одного із взаємовиключаючих проектів може бути неправильний результат (тоді краще застосувати метод ЧСВ);
- розробляти методологію і здійснювати аналіз проектів може тільки підготовлений персонал;
- його можна використовувати тільки тоді, коли інвестиційний проект можна реалізувати частинами, тобто його можна розділити.
Література
- Голова С.Ф. Бухгалтерський облік та фінансова звітність в Україні. Навчальний посібник. Дніпропетровськ – 2001р.
- Комаринський Я., Яремчук І. Фінансово – інвестиційний аналіз. Навчальний посібник. Київ – 1996р.
- Ястремський О.І. Моделювання економічного ризику. – Київ – 1992р.
- Ястремський О.І. Основи теорії економічного ризику: Навчальний посібник для студентів економічних спеціальностей вищих навчальних закладів. Київ – 1997р.