Украинским центом оценивания качества образования объявлены результаты внешнего оценивания по украинскому языку и литературе, проведение которого состоялось 1 июня 2021 года.
Содержание сертификационной работы ЗНО было определено на основе программы внешнего независимого оценивания по украинскому языку и литературе.
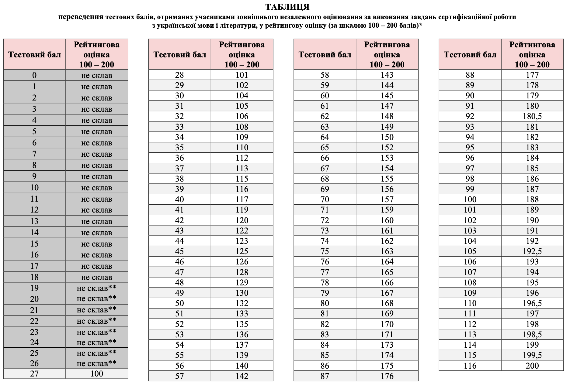
Тест по украинскому языку и литературе содержал 67 заданий, за правильное выполнение которых участник имел возможность получить 116 тестовых баллов.
Языковой блок теста содержал 40 заданий (части теста 2 и 4), за правильное выполнение которых можно было получить 74 тестовых балла.
Тестовые работы всех участников тестирования распознаны, идентифицированы и проверены. Результаты тестирования размещены на информационных страницах абитуриентов.
Пороговый балл «сдал/не сдал» теста ЗНО по украинскому языку и литературе установлен на уровне 27 тестовых баллов.
Адаптивный порог «сдал/не сдал» для лиц с особыми (языковыми) образовательными потребностями установлен на уровне 19 тестовых баллов.
В основу определения рейтинга каждого абитуриента положены его результаты, рассчитанные на основе общей суммы тестовых баллов. Результаты тестирования будут указаны в информационных картах к сертификатам ЗНО, которые каждый участник сможет распечатать с собственной информационной страницы.
Все участники, преодолевшие определенный экспертами барьер, получили рейтинговую оценку, определенную по шкале от 100 до 200 баллов. Полученный результат тестирования участники ЗНО смогут использовать во время вступительной кампании в учреждения высшего образования.
Поскольку результаты внешнего оценивания по желанию выпускника, могут быть засчитаны как государственная итоговая аттестация за школьный курс по украинскому языку, Украинским центром оценивания качества образования составлена и утверждена отдельная таблица перевода тестовых баллов в шкалу 1-12 баллов.
Участники тестирования могут ознакомиться со скан-копиями своих бланков ответов. Бланки ответов размещены на информационных страницах участников.
Также, в случае сомнений в объективности определенных результатов, участник тестирования имеет право подать апелляционное заявление, отправив его по почте на адрес Украинского центра оценивания качества образования в течение 5 календарных дней с момента объявления результатов тестирования.
Таблица перевода тестовых баллов по украинскому языку и литературе в 200-балльную шкалу:

Таблица перевода тестовых баллов по украинскому языку в шкалу 1-12 баллов:

РЕЗУЛЬТАТЫ ЗНО ПО УКРАИНСКОМУ ЯЗЫКУ И ЛИТЕРАТУРЕ
Для получения оперативной информации о начале и ходе вступительной кампании присоединяйтесь к страницам Вступительная кампания в Telegram или Абитуриент и Освіта.ua в Facebook.








