Методические рекомендации по формированию внутренней системы обеспечения качества дошкольного образования разработаны с целью разъяснения вопросов об особенностях ее построения и функционирования, в частности, проведения оценивания образовательных и управленческих процессов учреждениями дошкольного образования, дошкольными подразделениями других юридических лиц, физическими лицами-предпринимателями, которые осуществляют образовательную деятельность в сфере дошкольного образования.
В этих рекомендациях под внутренней системой обеспечения качества дошкольного образования понимается отлаженный механизм управления учебным заведением в соответствии с взаимосвязанными требованиями/правилами по организации, обеспечению, реализации, анализу и оцениванию, корректировке образовательных и управленческих процессов, который оказывает непосредственное влияние на качество образовательной деятельности и качество образования воспитанников в соответствии с результатами, определенными государственным стандартом.
Формування внутрішньої системи у закладі освіти починається з формулювання стратегії (політики) забезпечення якості освіти (мета, завдання, принципи), що відповідає потребам учасників освітнього процесу стосовно якості освітніх послуг і реалізації інших їхніх прав, а також засадам державної політики щодо якості освіти.
Основна мета стратегії (політики) – гарантування доступності та якості дошкільної освіти, забезпечення постійного та послідовного підвищення якості освітньої діяльності, формування довіри суспільства до закладів освіти.
Процедурами у механізмі формування та функціонування внутрішньої системи у ЗДО є:
1) визначення компонентів внутрішньої системи;
2) добір до кожного компоненту відповідних вимог / правил організації освітніх і управлінських процесів;
3) добір критеріїв та індикаторів до сформованих вимог / правил;
4) забезпечення функціонування внутрішньої системи;
5) оцінювання освітніх і управлінських процесів.
Внутрішня система забезпечення якості дошкільної освіти може включати також інші процедури, що визначаються внутрішніми документами закладу дошкільної освіти.
За результатами внутрішнього оцінювання діяльності закладу освіти колегіально визначатимуться завдання, реалізація яких має здійснюватися відповідно до основних засад державної політики та принципів освітньої діяльності у сфері дошкільної освіти, що визначені у статті 5 Закону України «Про дошкільну освіту».
Визначення компонентів внутрішньої системи
Відповідно до частини третьої статті 41 Закону України «Про дошкільну освіту» внутрішня система включає:
- створення в закладі дошкільної освіти безпечного, здорового та інклюзивного чи спеціального освітнього середовища, універсального дизайну та розумного пристосування, у тому числі забезпечення наявності ресурсів (ігрових, дидактичних, науково-методичних, матеріально-технічних, інформаційних тощо) необхідних для виконання державного стандарту;
- організацію освітнього процесу з урахуванням індивідуальних особливостей, потреб і можливостей кожного вихованця;
- формування кадрового складу та підвищення кваліфікації педагогічних працівників;
- забезпечення ефективності професійної діяльності, сприяння професійному розвитку педагогічних працівників;
- формування культури академічної доброчесності;
- забезпечення ефективної системи управління закладом дошкільної освіти;
- формування внутрішньої системи моніторингу якості освіти та якості освітньої діяльності.
Вибір закладом освіти компонентів внутрішньої системи не обмежується.
Внутрішня система може включати також інші компоненти, що не суперечать законодавству.
Добір вимог / правил організації освітніх і управлінських процесів
Для кожного компонента внутрішньої системи формуються вимоги / правила. Саме вимоги/правила є основними орієнтирами для планування, організації та забезпечення заходів, які безпосередньо впливають на якість освітньої діяльності закладу освіти та досягнення вихованцями результатів навчання і формування в них компетентностей, визначених державним стандартом дошкільної освіти.
Представимо основні вимоги / правила до кожного компонента внутрішньої системи.
Вимоги/правила до компонента «Створення в закладі дошкільної освіти безпечного, здорового та інклюзивного чи спеціального освітнього середовища, універсального дизайну та розумного пристосування, у тому числі забезпечення наявності ресурсів (ігрових, дидактичних, науково-методичних, матеріально-технічних, інформаційних тощо) необхідних для виконання державного стандарту»
1.1. Створення безпечного освітнього середовища.
1.2. Створення здорового освітнього середовища.
1.3. Створення інклюзивного чи спеціального освітнього середовища.
1.4. Забезпечення ресурсами, необхідними для виконання державного стандарту дошкільної освіти.
Вимоги/правила до компонента «Організація освітнього процесу з урахуванням індивідуальних особливостей, потреб і можливостей кожного вихованця»
2.1. Вибір (розроблення) освітніх та парціальних програм для організації освітнього процесу з урахуванням академічної автономії.
2.2. Організація та перебіг освітнього процесу з урахуванням вікових особливостей, здібностей, фізичного, психічного та інтелектуального розвитку дітей, їхніх особливих освітніх потреб, уподобань та запитів.
2.3. Дотримання вимог мовного законодавства.
2.4. Встановлення розпорядку перебування вихованців у закладі освіти та формування мережі груп.
2.5. Забезпечення права кожної дитини на здобуття дошкільної освіти незалежно від обраної форми здобуття
Вимоги/правила до компонента «Формування кадрового складу та підвищення кваліфікації педагогічних працівників»
3.1. Кадрове забезпечення
3.2. Врегульованість трудових відносин
3.3. Підвищення кваліфікації та створення необхідних умов для атестації педагогічних працівників
Вимоги/правила до компонента «Забезпечення ефективності професійної діяльності, сприяння професійному розвитку педагогічних працівників»
4.1. Забезпечення ефективності професійної діяльності педагогічних працівників.
4.2. Сприяння професійному розвитку педагогічних працівників, зокрема організації методичної діяльності
4.3. Партнерська взаємодія з учасниками освітнього процесу.
4.4. Педагогічна підтримка батьків
Вимога/правило до компонента «Формування культури академічної доброчесності»
5.1. Формування та утвердження культури академічної доброчесності.
Вимоги/правила до компонента «Забезпечення ефективної системи управління»
6.1. Планування діяльності.
6.2. Формування внутрішньої системи забезпечення якості дошкільної освіти.
6.3. Визначення правил внутрішнього розпорядку
6.4. Діяльність основного колегіального органу управління
6.5. Оптимальність використання єдиноначальності в управлінні
6.6. Дотримання порядку зарахування, відрахування та переведення дітей
6.7. Організація Інклюзивного навчання
6.8. Сприяння діяльності органів громадського самоврядування.
6.9. Відкритість та прозорість діяльності.
6.10. Ведення документообігу та звітності
6.11. Цифровізація управлінських процесів
Вимоги/правила до компонента «Формування внутрішньої системи моніторингу якості освіти та якості освітньої діяльності»
7.1. Формування внутрішньої моделі оцінювання якості освіти та якості освітньої діяльності.
7.2. Визначення порядку проведення моніторингу якості освіти та якості освітньої діяльності.
Добір критеріїв та індикаторів відповідно до вимог / правил
Оцінювання освітніх і управлінських процесів закладу освіти здійснюється на рівні вимог/правил, до яких добираються критерії та індикатори із застосуванням нормативного підходу. Критерії та індикатори сформульовані відповідно до норм законодавства, що сприяє прозорості та зрозумілості вимог, більш об'єктивному оцінюванню.
Звернемо увагу, що у рекомендаціях враховано основні засади державної політики та принципи освітньої діяльності у сфері дошкільної освіти, суттєво змінилися критерії й індикатори компонентів з питань створення освітнього середовища, організації освітнього процесу, ефективності професійної діяльності педагогів та управлінської системи. Також акцентовано питання щодо формування кадрового складу, культури академічної доброчесності, внутрішньої системи моніторингу якості освіти та якості освітньої діяльності.
Зазначимо, що кадрова політика закладу освіти будується на базових цінностях академічної доброчесності: чесність учасників освітнього процесу; довіра до результатів діяльності інших осіб; повага до честі і гідності своєї та інших членів професійної спільноти; цінування різноманітності думок; повага до права інтелектуальної власності інших осіб; справедливість та доброчесне оцінювання результатів професійної діяльності.
Враховуючи ключову мету контрольної (оцінювально-діагностичної) функції управління закладом освіти, результати якої є основою для визначення наступних річних завдань його діяльності, окремим компонентом внутрішньої системи визначено «Формування внутрішньої системи моніторингу якості освіти та якості освітньої діяльності». Також у компоненті «Забезпечення ефективності професійної діяльності, сприяння професійному розвитку педагогічних працівників» не могли не визначити критерій оцінювання діяльності педагогічних працівників «Аналіз та оцінювання результатів освітнього процесу», адже це є критерієм їх оцінювально-аналітичної компетентності.
Уміння педагогічних працівників професійно здійснювати педагогічну діагностику освітніх досягнень вихованців, інтерпретувати її результати сприяє визначенню наскільки вдалим для кожної конкретної дитини є побудований процес здобуття дошкільної освіти, шляхів подальших змін в освітньому процесі, його забезпечення задля того, щоб кожна дитина могла проявити свою як рухову, так і пізнавальну активність, самостійність, неповторну індивідуальність у грі та творчості, адаптивність до змін освітніх ситуацій. Підтвердженням розуміння педагогами значення, особливостей проведення моніторингу освітніх досягнень вихованців є їхні відповіді на запитання у переліку:
1. Методика моніторингу якості освіти (рівень розвитку компетентностей дітей), яка застосовується у закладі: розроблена у ЗДО, запозичена у колег, вибрана з досвіду практиків, представлених у періодичних фахових джерелах, інше__?
2. Яка роль педагогів у процесі оцінювання динаміки розвитку компетентностей дітей (здійснюється педагогом самостійно чи разом з вихователем-методистом, інше___)?
3. За якими основними критеріями здійснюється моніторинг якості освіти (рівня компетентностей вихованців)?
4. Які рівні оцінювання застосовуються у діагностичній методиці?
5. У який період здійснюється моніторинг якості освіти (рівень компетентностей дітей)?
6. Які методи використовуються для оцінювання якості освіти (рівня компетентностей вихованців)?
7. Де фіксуються (в якому документі висвітлюються) результати моніторингу якості освіти?
8. Яка подальша діяльність педагога за результатами моніторингу якості освіти?
9. Чи обговорюються результати моніторингу у професійному колі дошкільного закладу?
10. Які заходи сприяють обговоренню результатів освітнього процесу за показниками моніторингу якості освіти?
11. Яка роль вихователя-методиста у процесі оцінювання динаміки розвитку дітей?
12. Чого Вам не вистачає для якісного та об'єктивного здійснення діагностичних процедур?
Крім цього, у критерії «Сприяння підвищенню кваліфікації педагогічних працівників» акцентовано на умінні педагога здійснювати самооцінювання власної професійної діяльності відповідно до компетентностей, визначених професійним стандартом, та результатів освітнього процесу.
Визначаючи вимоги/правила компоненту «Забезпечення ефективної системи управління», враховуємо, що управління закладом освіти передбачає наскрізні та взаємопов'язані процеси для досягнення визначеної мети та завдань розвитку закладу освіти, перехід від командно-адміністративної системи управління до корпоративної системи професійного партнерства у реалізації управлінських функцій: аналіз ~ інформаційно-аналітична, мотиваційно-цільова; планування – планово-прогностична; організаційна – координувально-виконавська; контрольна - оцінювально-діагностична; регулювальна – регулювально-корекційна).
Система управління має бути адаптована до конкретних потреб і цілей конкретного закладу освіти.
Зазначаємо, що система вибудовування дієвого інструментарію щодо оцінки якості продовжує розвиватися, вона потребує досліджень та поступового корегування.
Забезпечення функціонування внутрішньої системи
Для ефективного функціонування внутрішньої системи розробляється Положення про внутрішню систему забезпечення якості освіти в закладі дошкільної освіти (далі - Положення про внутрішню систему).
Положення про внутрішню систему визначає:
- стратегію (політику) забезпечення якості дошкільної освіти у ЗДО (мета, завдання та принципи внутрішньої системи);
- компоненти внутрішньої системи, відповідні вимоги/правила, до кожного/кожної з яких добираються критерії (підстави для оцінювання) та індикатори (показники, що відображають стан об’єктів аналізування, їх якісні характеристики) оцінювання освітніх і управлінських процесів ЗДО;
- модель оцінювання якості освіти та освітньої діяльності;
- методи збору інформації для аналізування діяльності та шкалу (система) оцінювання результатів.
Зразок орієнтовних критеріїв та індикаторів для оцінювання освітніх і управлінських процесів закладу дошкільної освіти подано в додатку до цих рекомендацій.
Під час розроблення Положення про внутрішню систему враховується тип організації освітньої діяльності ЗДО, особливості педагогічного колективу та інші особливості діяльності ЗДО.
Положення схвалюється на засіданні педагогічної ради, затверджується керівником закладу освіти.
Для формування та функціонування внутрішньої системи важлива партнерська взаємодія спеціалістів ЗДО, які здійснюють або включені у процеси розроблення як Положення про внутрішню систему, так і Критеріїв, оцінювання діяльності, участі, як експертів, в оцінюванні, інтерпретації отриманих результатів.
Розглянемо роль учасників оцінювання діяльності закладу освіти.
Керівник закладу зобов’язаний забезпечувати створення та функціонування внутрішньої системи, затверджувати Положення про внутрішню систему (частина четверта статті 38 Закону України «Про дошкільну освіту»). Тобто, керівник є відповідальним, зокрема й за проведення оцінювання освітніх І управлінських процесів ЗДО.
Звертаємо увагу, що функціонування внутрішньої системи відображається у Програмі розвитку закладу освіти, саме через визначення стратегічних орієнтирів діяльності й способах досягнення цілей покращення якості дошкільної освіти, та у Плані роботи закладу освіти на рік (далі - План роботи) завдяки добору заходів, їх учасників, спрямованих на реалізацію річних завдань, які відстежуються у кожному його розділі.
Педагогічна рада схвалює Положення про внутрішню систему; ухвалює рішення про результативність виконання освітніх і парціальних програм, за якими організований освітній процес; вдосконалення організації освітнього процесу, створення освітнього середовища (частина третя статті 39 Закону України «Про дошкільну освіту»).
Щороку на настановлювальному засіданні педагогічної ради за результатами оцінювання діяльності закладу за минулий рік формуються річні завдання, обговорюються умови та заходи їх реалізації, які впливатимуть на якість освіти та освітньої діяльності, що визначені в Плані роботи.
Важливу роль у зростанні професійної компетентності педагогів, що своєю чергою впливатиме на якість освіти, є їх об'єднання у різноманітні внутрішні професійні спільноти (творчі, проблемні, моніторингові, експертні, ініціативні, динамічні групи) за спільними цілями, інтересами, потребами, специфікою їх професійної діяльності.
Під час формування внутрішньої системи передбачається залучення педагогів до діяльності ініціативної групи щодо розроблення Критеріїв для оцінювання освітніх і управлінських процесів, складання Положення про внутрішню систему. Інші педагоги та працівники закладу освіти, батьки вихованців можуть залучатися до обговорення Критеріїв.
Під час складання Плану роботи можна передбачити діяльність моніторингової групи, члени якої залучатимуться до процедур оцінювання освітніх і управлінських процесів.
*Під час формування внутрішньої системи спеціалісти закладу освіти можуть скористатися матеріалами Порадника для директора закладу дошкільної освіти «Як створити внутрішню систему забезпечення якості освіти» та розробити власні вимоги / правила, критерії, індикатори оцінювання відповідно до вимог законодавства.
Оцінювання освітніх і управлінських процесів
Важливим є систематичне оцінювання діяльності закладу освіти, а саме реалізації завдань визначених у Плані роботи, й ефективність функціонування внутрішньої системи.
Заклад освіти визначає модель оцінювання якості дошкільної освіти та якості освітньої діяльності, наприклад:
Модель 1. Щороку здійснюється оцінювання результатів діяльності закладу освіти відповідно Плану роботи із проведенням оцінювання одного-двох компонентів відповідно до критеріїв.
Наприклад, в одному році проаналізували, оцінили компоненти «Формування кадрового складу та підвищення кваліфікації педагогічних працівників» та «Забезпечення ефективності професійної діяльності, сприяння професійному розвитку педагогічних працівників», у наступному – компонент «Організація освітнього процесу з урахуванням індивідуальних особливостей, потреб і можливостей кожного вихованця», потім «Створення в закладі дошкільної освіти безпечного, здорового та інклюзивного чи спеціального освітнього середовища, універсального дизайну та розумного пристосування, у тому числі забезпечення наявності ресурсів (Ігрових, дидактичних, науково-методичних, матеріально-технічних, інформаційних тощо) необхідних для виконання державного стандарту», а далі–- компоненти «Забезпечення ефективної системи управління» та «Формування культури академічної доброчесності» (послідовність та поєднання компонентів може бути іншою).
Один раз на п'ять років здійснюється комплексне оцінювання за всіма компонентами діяльності, визначеними у Критеріях.
Модель 2. Щороку здійснюється оцінювання результатів діяльності закладу освіти відповідно Плану. Один раз на три-п'ять років здійснюється комплексне оцінювання за всіма компонентами, визначеними у Критеріях.
Заклад може визначити й іншу модель оцінювання.
Внутрішня система оцінювання діяльності закладу освіти, яка забезпечує систематичний аналіз якості організації освітнього процесу, його результатів, ресурсного забезпечення тощо, має такі форми:
- контроль якості освітньої діяльності (далі - Контроль), який визначається логічним, доцільним об’єднанням його видів (тематичний, підсумковий, фронтальний, оперативний) та змісту. Під час планування Контролю застосовується технологічний прийом - розробляються циклограми на річний цикл;
- моніторинг якості освіти та освітньої діяльності, зокрема відповідно до визначених у Критеріях компонентів;
- атестація педагогічних працівників, яка проходить відповідно до Положення про атестацію педагогічних працівників (наказ Міністерства освіти і науки України від 09.09.2022 №805 «Про затвердження Положення про атестацію педагогічних працівників».
Правильно побудована внутрішня система оцінювання дає можливість дослідити ефективність професійної діяльності педагогів, продуктивність заходів щодо створення освітнього середовища, дотримання принципів партнерства у педагогічній підтримці батьків, формування культури доброчесності тощо.
Річні завдання закладу освіти щороку міняються й педагогічний колектив щоразу проходить шлях професійного розвитку з різних питань, зокрема з впровадження в освітній процес інновацій за освітніми напрямами, визначеними у державному стандарті.
Оцінювання проводиться у такі етапи:
- збір та аналіз інформації, отриманої під час спостереження, опитування та вивчення документації;
- узагальнення результатів оцінювання та визначення рівня освітніх і управлінських процесів;
- обговорення результатів оцінювання (пояснення результатів, визначення закономірностей, формулювання висновків тощо) та прийняття відповідних управлінських рішень.
Збір та аналіз інформації, отриманої під час опитування, спостереження та вивчення документації
Інформацію про стан діяльності ЗДО можна отримати з таких джерел:
- заходи освітнього процесу, методичні заходи для педагогів і батьків;
- ділова документація - плани роботи закладу, плани освітнього процесу, статистичні звіти, протоколи, фінансові документи тощо;
- учасники освітнього процесу, їх різнопланова діяльність.
Форми отримання інформації представлені у таблиці 1.
|
Форма |
Методи |
Додаткові методи та засоби |
|
Безпосередньо від учасників освітнього процесу |
Спостереження, інтерв’ювання, бесіди, тестування тощо |
Відеозапис, аудіозапис, хронометраж |
|
Опосередковано від учасників освітнього процесу |
Письмова та/або електронна форма опитування |
|
|
Без залучення учасників освітнього процесу |
Вивчення документації, статистичної або оперативної інформації тощо |
Фото, сканування |
Залежно від обраного джерела та форми отримання інформації обирають методи вивчення та відповідний їм інструментарій. Найпоширенішими методами є:
- спостереження за організацією освітнього процесу (різних видів та форм діяльності з дітьми), щоденних справ з дітьми у розпорядку дня; методичних заходів для педагогів, заходів співпраці з батьками; особливостей створення освітнього середовища;
- опитування – анкетування педагогів і батьків; інтерв’ю з педагогами і батьками; бесіда з дітьми та педагогами;
- вивчення документації (плани, протоколи, накази, програми моніторингу якості освіти); продуктів дитячої діяльності.
Вибір методу має забезпечити отримання релевантної інформації для всебічного вивчення та об’єктивного оцінювання освітніх і управлінських процесів ЗДО.
Окремі методи збору інформації (наприклад, опитування) можуть застосовуватися з використанням цифрових технологій.
Кожен із методів збору інформації має особливості щодо застосування та оброблення результатів.
Спостереження - найефективніший метод аналізу якості організації освітнього процесу та створення освітнього середовища. Завдяки спостереженню у реальному часі у створеному предметно-просторовому розвивальному середовищі можна побачити, чи доцільно використовують педагоги методи та прийоми впливу на розвиток дітей, рівень залучення дітей до різних видів діяльності, особливості взаємодії та психологічну атмосферу під час різних форм взаємодії.
Спостереження за створенням освітнього середовища сприяє фіксуванню наявності чи відсутності необхідної для освітнього процесу матеріально-технічної бази, забезпечення умов для інклюзивного навчання дітей з особливими освітніми потребами, дотримання вимог Санітарного регламенту, норм з охорони праці та безпеки життєдіяльності, визначити дієвість положення про запобігання і протидію насильству та жорстокому поводженню з дітьми в закладі освіти, проаналізувати культуру взаємовідносин у закладі освіти тощо.
Спостереження за проведенням спеціально організованих форм освітнього процесу, самостійної діяльності вихованців допомагає оцінити рівень фахової діяльності педагогів закладу освіти, потреби в розвитку їхніх професійних компетентностей або надання їм підтримки. У ході такого спостереження важливо звернути увагу на:
- процеси формування та розвиток компетентностей у дітей з урахуванням індивідуальних особливостей, потреб і можливостей кожного вихованця;
- спрямованість форм освітнього процесу на формування у вихованців суспільних цінностей, зокрема правди, справедливості, патріотизму, гуманізму, милосердя, толерантності, поваги до честі та гідності людини і результатів її праці, здорового способу життя та екологічної поведінки, цінностей постійного пізнання і розвитку;
- участь дітей у різних видах діяльності;
- використання інформаційно-комунікаційних (цифрових) технологій, обладнання, засобів навчання;
- комунікацію педагогічного працівника з дітьми;
- організацію освітньої діяльності з дітьми з особливими освітніми потребами (у разі їх наявності).
Для оцінювання професійних навичок педагога, не менш важливими є спостереження за проведенням ним заходів співпраці з батьками, методичних форм взаємодії з колегами.
Опитування може бути письмовим (анкетування) або усним (інтерв’ю, бесіда).
Анкетування дозволяє отримати інформацію про ставлення учасників освітнього процесу до певних питань діяльності ЗДО. Під час анкетування можуть використовуватися анкети для працівників та батьків.
Анкетування передбачає складання форми (бланка) анкети. У разі проведення анкетування онлайн доцільно використовувати цифрові ресурси, для автоматизованого оброблення відповідей.
Анкети можуть бути закритого, відкритого, напівзакритого типу або комбінованими.
Використання анкети закритого типу полегшує обробку даних і узагальнення результатів, проте обмежує відповіді респондентів певними рамками.
Якщо мета дослідження полягає у тому, щоб отримати оцінку освітніх та управлінських процесів учасниками, зворотний зв'язок щодо ефективності певної політики, рекомендовано опитати якомога більше учасників освітнього процесу та використовувати анкети закритого типу.
Якщо мета дослідження полягає в більш детальному аналізі ставлень, позицій та настроїв учасників освітнього процесу, узагальненні їхніх ідей або пропозицій, доцільно застосовувати відкриті анкети.
Комбіновані анкети дозволяють оптимально поєднати питання, що потребують кількісного та якісного аналізу, в одному опитувальнику. Індивідуальне інтерв’ю дає можливість отримати конкретизовану інформацію про ставлення особи до проблеми та/або явища в закладі освіти.
Індивідуальне інтерв’ю може бути структурованим, неструктурованим та напівструктурованим.
Неструктуроване інтерв’ю може містити одне або кілька значних за змістом питань, які потребують розгорнутої відповіді (наприклад, «Розкажіть, будь ласка, що Вам допомагає організувати роботу з дітьми на день?»). Такий тип інтерв’ю застосовується, якщо необхідно детально вивчити досвід кожного респондента з окремого питання. При цьому доцільно застосовувати протокольну фіксацію відповідей для детального аналізу отриманої інформації.
Структуроване інтерв’ю проводиться за заздалегідь підготовленим планом розмови, містить низку запитань, які передбачають чіткі відповіді (наприклад, «Які ви застосовуєте форми та методи роботи під час організації освітнього процесу?»). Такий підхід застосовується тоді, коли необхідно зібрати інформацію з різних питань у великої кількості респондентів. Фіксація відповідей може здійснюватися на бланках опитування або спеціально підготовлених формах.
Напівструктуроване інтерв’ю також передбачає наявність орієнтовного плану розмови, водночас він може бути модифікований залежно від відповідей респондента у ході інтерв’ю. Фіксація відповідей відбувається у способи, зазначені для структурованого та неструктурованого інтерв’ю.
Групове інтерв’ю передбачає проведення співбесіди на визначену тему з групою осіб (від 6 до 12). Учасники групи спілкуються між собою, а модератор спрямовує дискусію, щоб охопити заявлену тему та надати можливість висловитися всім учасникам. Фіксація результатів може здійснюватися організатором фокус-групи (зокрема, за допомогою технічних пристроїв) або третьою особою.
Загалом інтерв’юер обов’язково повідомляє респондентів про фіксацію відповідей та спосіб, у який вона буде здійснюватися (незалежно від виду і типу інтерв’ю).
Бесіда з педагогом
Бесіда – метод отримання інформації широкого діапазону під час безпосереднього спілкування з педагогом у вільній чи регламентованій формі.
Проводять бесіди з педагогами у період вивчення стану організації освітнього процесу, під час розроблення індивідуального перспективного плану розвитку професійної компетентності педагога, або у період його атестації.
Бесіда з педагогом після спостереження за організацією освітнього процесу — важливе джерело інформації для аналізу.
Перед бесідою проаналізуйте побачене, відберіть основні факти, оцініть їх, сформулюйте аргументовані висновки та пропозиції, розкрийте можливі причини, які обумовили ті чи ті недоліки, що виявили під час спостереження.
Бесіда з вихованцями
Бесіда з вихованцями – це один з методів отримання інформації за допомогою словесного спілкування з дитиною, щоб виявити факти, що характеризують її особистісні прояви (інтереси, знання, ставлення та ін.). За допомогою бесіди можна виявити особливості організації різних видів діяльності в групі, атмосфери взаємодії з дорослими та дітьми. Бесіду з вихованцями можна використати як метод педагогічної діагностики — виявити рівень знань дітей у групі і кожної дитини окремо, особливо тих дітей, які мало проявляють себе на заняттях.
Вивчення продуктів дитячої діяльності
Метод вивчення продуктів дитячої діяльності використовують у вивченні індивідуальних особливостей дітей, їхніх інтересів і нахилів, ставлення до продуктивних видів діяльності. Діяльність дитини дошкільного віку - різноманітна та стосується різних аспектів реалізації власного творчого потенціалу, взаємодії її зі світом (довкіллям) і його предметами, спілкування з ровесниками, дорослими. Зазвичай аналізують продукти:
- зображувальної і конструктивної діяльності дитини - малюнки, аплікації, ліплення, об’ємні зображення, конструкції;
- музичної діяльності – виконавство і творчість у пісні, грі на музичних інструментах;
- мовленнєво-творчої діяльності – творчі розповіді, переказування літературних творів, складання казок тощо.
Метод використовують у комплексі зі спостереженням й бесідою – як з дітьми, так із дорослими.
Вивчення документації ЗДО дає можливість отримати інформацію про освітню та управлінську діяльність. Наприклад, вивчення планів роботи педагогів здійснюється з метою визначення послідовності у реалізації освітніх завдань, відповідно до вибраних ч и ! розроблених програм, відповідності застосованих форм та методів діяльності віковим та індивідуальним особливостям дітей, різноманітності видів діяльності тощо. Вивчення протоколів засідань педагогічної ради розкриває інформацію про виконання закладом освіти повноважень, визначених Законом України «Про дошкільну освіту», про актуальні питання діяльності закладу, які пропонуються для обговорення, відповідність ухвалених рішень змісту обговорення питань порядку денного.
Оброблена інформація систематизується та аналізується.
Узагальнення результатів оцінювання, визначення рівнів освітніх та управлінських процесів
За вибором закладу освіти оцінювання може здійснюватися за власною шкалою оцінювання результатів досягнень або за системою оцінювання, визначеною законодавством.
Узагальнення результатів оцінювання відбувається за кожним компонентом із визначенням рівня освітніх та управлінських процесів у ЗДО.
За результатами оцінювання можуть визначатися рівні досягнень закладу освіти. Наприклад, встановлено чотири рівні: перший (низький), другий (вимагає покращення), третій (достатній), четвертий (високий) рівні.
Представимо три варіанти до узагальнення результатів оцінювання та визначення рівнів.
Перший варіант
Вивчаючи кожний критерій діяльності, керівник фіксує увагу саме на тому, за яким діяльність не відповідає та/або не повною мірою відповідає вимогам законодавства та формулює проблеми, судження про причини її виникнення, можуть бути як об'єктивними, так і суб'єктивними.
Узагальнюючи судження, керівник висуває пропозиції щодо шляхів розв'язання цих проблем. Не менш важливим є визначення критеріїв, за якими колектив має найвищі досягнення, адже це може стати ресурсом у подоланні проблем.
Цей варіант потребує від керівника умінь самостійно охарактеризувати діяльність закладу на підставі співвідношення результатів діяльності з нормами законодавства.
Другий варіант
Визначення рівня освітніх і управлінських процесів із застосуванням сформованої орієнтовної рамки оцінювання рівня освітніх і управлінських процесів (характеристика діяльності за рівнями). Керівник співвідносить отриманий результат з описом характеристики результатів у рамці.
Характеристика є основою для формування суджень про рівень діяльності ЗДО та конкретних порад щодо подолання утруднень, досягнення очікуваних результатів відповідно до вимог законодавства. Такий варіант спрощує аналіз керівника, втім потребує вагомих зусиль для складання рамки за всіма критеріями. Також сформовані характеристики не завжди можуть впливати на об'єктивність оцінювання (зразок у табл. 2).
Орієнтовна рамка оцінювання
рівня освітніх і управлінських процесів
|
Рівні оцінювання |
|||
|
Четвертий (високий) |
Третій |
Другий |
Перший |
|
VI. Компонент «Забезпечення ефективної системи управління» |
|||
|
Вимога/правило 6.1. Планування діяльності Критерій 6.1.1. Формування програми розвитку та розроблення плану роботи на рік з урахуванням вимог законодавства та автономії закладу освіти Індикатор 6.1.1.1. Програма розвитку закладу освіти визначає пріоритетні напрями розвитку та передбачає заходи з підвищення якості освіти та якості освітньої діяльності відповідно особливостям і умовам його діяльності, зокрема типу організації освітньої діяльності, контингенту вихованців, фахового рівня педагогічного колективу, обсягу та джерел фінансування Індикатор 6.1.1.2. План роботи закладу освіти на рік реалізує програму його розвитку, висвітлює шляхи розв'язання актуальних завдань за всіма напрямками діяльності Індикатор 6.1.1.3. Педагогічна рада систематично розглядає питання реалізації плану роботи з урахуванням визначених завдань у програмі розвитку закладу освіти та визначає ефективність проведених заходів |
|||
|
У закладі освіти наявні програма розвитку закладу та план роботи закладу освіти на рік. Програма розвитку закладу освіти, визначає пріоритетні напрями розвитку та передбачає заходи з підвищення якості освіти та освітньої діяльності відповідно особливостям і умовам його діяльності. План роботи закладу освіти на рік реалізує програму його шляхи розв'язання актуальних завдань за всіма напрямками діяльності. Педагогічна рада систематично розглядає питання реалізації плану роботи з урахуванням визначених завдань у програмі розвитку визначає ефективність проведених заходів. |
У закладі освіти наявні програма розвитку закладу та план роботи закладу освіти на рік. Програма розвитку закладу освіти переважно визначає пріоритетні напрями розвитку та передбачає заходи з підвищення якості освіти та освітньої діяльності відповідно особливостям і умовам його діяльності. План роботи закладу освіти на рік переважно реалізує програму його розвитку, висвітлює шляхи розв'язання актуальних завдань за діяльності. Педагогічна рада розглядає питання реалізації плану роботи з урахуванням визначених завдань у програмі розвитку закладу освіти та визначає ефективність проведених заходів. |
У закладі освіти наявні програма розвитку закладу та план роботи закладу освіти на рік. Програма розвитку закладу освіти частково визначає пріоритетні напрями розвитку відповідно особливостям і умовам його діяльності. План роботи закладу освіти на рік частково реалізує програму його розвитку та однак не висвітлює і шляхи розв'язання актуальних завдань за всіма напрямками діяльності. Педагогічна рада періодично розглядає питання реалізації плану. |
У закладі освіти відсутня програма розвитку закладу. У закладі освіти відстежується формальний підхід до планування роботи закладу освіти. Педагогічна рада не розглядає питання реалізації плану роботи. |
Третій варіант
Для оцінювання рівня освітніх і управлінських процесів та узагальнення його результатів заклад освіти може використовувати кваліметричний підхід*
1 – низький рівень (не відповідає нормі);
2 – рівень, що вимагає покращення (часткою відповідає нормі);
3 – достатній рівень (наближено до норми);
4 – високий рівень (відповідає нормі).
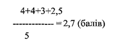
Оцінювання компонента здійснюється шляхом знаходження середньоарифметичного значення отриманих балів за кожним індикатором/критерієм/вимогою, що входять до нього.


1. Оцінити від 1 до 4 балів кожен із Індикаторів, які є показниками стану виконання певного критерію, наприклад, 2.1.1. «Організація освітнього процесу відповідно до освітніх та парціальних програм, вибір (розроблення) яких схвалено педагогічною радою:
- індикатор 2.1.1.1. «Рішення про використання в освітньому процесі конкретної (-их) освітньої (-іх) та парціальної (-их) програм схвалює педагогічна рада закладу дошкільної освіти» (4 бали);
- індикатор 2.1.1.2. «Освітній процес організовується за однією або декількома освітніми програмами, що реалізуються для одного або двох базових етапів дошкільної освіти та/або окремих вікових груп вихованців, зокрема для дітей старшого дошкільного віку, різних груп вихованців» (4 бали);
- індикатор 2.1.1.3. «Освітній процес організовується (у разі потреби) за однією або декількома парціальними програмами» (3 бали);
- індикатор 2.1.1.4. «Враховується збалансованість змісту, обсягу, форми та тривалість виконання освітніх завдань за різними освітніми напрямами в межах вибраних (розроблених) програм, у разі потреби забезпечується їх коригування» (3 бали);
- індикатор 2.1.1.5. «Здійснюється (за потребою) комбінування, адаптування та інтегрування освітніх і парціальних програм*» (2,5 бали)
2. Вирахувати середнє арифметичне значення критерію 2.1.1 за оцінками індикаторів, що входять до його складу.


У такий самий спосіб визначаємо середньоарифметичне значення кожного критерію до кожної вимоги – 2.2, 2.3, 2.4.
3. Обрахувати середнє арифметичне значення за оцінками вимог, що входять до одного компоненту.
Наприклад:
- вимога 2.1. «Вибір (розроблення) освітніх та парціальних програм для організації освітнього процесу з урахуванням академічної автономії» – 2,7 бала;
- вимога 2.2. «Організація та перебіг освітнього процесу з урахуванням вікових особливостей, здібностей, фізичного, психічного та інтелектуального розвитку дітей, їхніх особливих освітніх потреб, уподобань та запитів» – 2,5 бала;
- вимога 2.3. «Дотримання вимог мовного законодавства» – 3,3 бала;
- вимога 2.4. «Встановлення розпорядку перебування вихованців у закладі освіти та формування мережі груп» – 3,7 бала;
- вимога 2.5. «Забезпечення права кожної дитини на здобуття дошкільної освіти незалежно від обраної форми здобуття»– 3,5 бала.
2,7+2,5+3,3+3,7+3,5


Зіставляємо отримане значення середньоарифметичної оцінки компоненту зі шкалою визначення рівнів оцінювання освітніх і управлінських процесів.
Шкала визначення рівнів оцінювання
освітніх і управлінських процесів
|
1,0-1,65 |
1,66-2,65 |
2,66-3,60 |
3,61-4,0 |
|
низький |
рівень, що вимагає покращення |
достатній |
високий |
Отриманий середньоарифметичний бал 2,48 знаходиться у проміжку між 1,66 та 2,65 і відповідає рівню, що вимагає покращення.
Використання цього варіанту узагальнення результатів оцінювання не знімає потребу у формулюванні суджень про вагомі досягнення колективу та причини виявлених проблем тощо.
Маючи автономію, ЗДО може самостійно обирати варіант узагальнення результатів та визначення рівнів оцінювання (частина перша статті 23 Закону України «Про освіту»).
Обговорення результатів оцінювання та прийняття відповідних управлінських рішень
Загальними показниками якості освітніх та управлінських процесів за результатами їх оцінювання є: позитивна динаміка розвитку компетентностей вихованців відповідно державного стандарту; стабільність показників здоров'я дітей; розвиток освітнього процесу на основі впровадження нового змісту та освітніх технологій; підвищення професійних компетентностей педагогів; сприятливий психологічний клімат у колективі; оптимальність ресурсного забезпечення; підвищення рівня організаційної культури; розвиток системи управління, зокрема оптимальне поєднання колегіальних та єдиноначальних засад в управлінні, застосування цифрових технологій; розвиток системи зовнішніх зв'язків та можливість впроваджувати різні форми організації освітньої діяльності; конкурентоспроможність закладу освіти на ринку освітніх послуг; обґрунтованість програми розвитку закладу освіти.
Результати оцінювання за внутрішньою моделлю висвітлюються під час щорічного звітування керівника про свою діяльність на посаді та про виконання Плану роботи перед вищим колегіальним органом громадського самоврядування ЗДО (у разі створення такого органу) та/або шляхом оприлюднення річного звіту відповідно до статті 30 Закону України «Що освіту». Звіт керівника є основою для розроблення Плану роботи, для формування Програми розвитку ЗДО.
Загалом інформація, отримана під час оцінювання, може бути використана в цілях:
- прийняття відповідних управлінських рішень для вдосконалення внутрішньої системи;
- розроблення Плану роботи ЗДО на рік за визначеними річними завданнями для удосконалення діяльності;
- внесення, за потребою, змін у Критерії;
- доопрацювання змісту методів оцінювання тощо.
Такий підхід сприятиме трансформації та покращенню внутрішньої системи забезпечення якості освіти, а отже, виконанню основної цілі - забезпечення цілісного та всебічного розвитку дитини шляхом виховання, навчання, соціалізації та формування необхідних життєвих навичок і компетентностей.
По материалам Министерства образования и науки.
