Аваль — це вексельна гарантія, внаслідок якої особа, що вчинила цю гарантію (аваліст), бере на себе відповідальність повністю або в частині суми за зобов'язання якоїсь із зобов'язаних за векселем осіб (векселедавця, акцептанта, індосанта). Аваль вчиняється на переказному векселі або на додатковому аркуші (алонжі). Також аваль може даватись і на окремому аркуші із зазначенням місця видачі
Функціонування комерційного кредиту і вексельного обігу можливе лише за наявності впевненості кредитора в оплаті боржником поставленої продукції (наданих послуг). Часто гарантії боржника, навіть такої, що спирається на силу вексельного права, виявляється недостатньо, і тоді відповідальність за невиконання боржником своїх зобов'язань може взяти на себе третя особа, відома своєю платоспроможністю у формі гарантії, поручництва. Найбільш прийнятними вважаються гарантії солідних комерційних банків.
Надання банківської гарантії як забезпечення оплати векселів є формою кредитування клієнта, що здійснюється згідно з загальними принципами банківського кредитування. Вексельні гарантії комерційних банків можуть мати явний або прихований вигляд. В явному вигляді видається аваль. Прихований вигляд мають учинені у формі окремої гарантії платежу (гарантійні листи), надписи банку на векселі як однієї із зобов'язаних за векселем осіб, але не аваліста.
Аваль — це вексельна гарантія, внаслідок якої особа, що вчинила цю гарантію (аваліст), бере на себе відповідальність повністю або в частині суми за зобов'язання якоїсь із зобов'язаних за векселем осіб (векселедавця, акцептанта, індосанта). Аваль вчиняється на переказному векселі або на додатковому аркуші (алонжі). Також аваль може даватись і на окремому аркуші із зазначенням місця видачі. Аваль виражається словами "Вважати за аваль", "Гарантую", "Як аваліст за..." або іншими рівнозначними формулюваннями, а також підписом аваліста.
Для авалю достатньо одного лише підпису, поставленого авалістом на лицьовому боці переказного векселя, якщо тільки цей підпис не поставлений платником або векселедавцем. В авалі повинно бути зазначено, за кого він виданий, наприклад: "За Торговий Дім "Комета". АКБ "Бізнесферм". За відсутності такої вказівки аваль вважається виданим за векселедавця.
Авалюючи вексель, банк надає такій особі строковий кредит або кредит до запитання (залежно від строку платежу за векселем). Як правило, можуть бути авальовані векселі, в яких точно визначений строк платежу, а саме: визначено-строкові, дато- і візо-векселі, причому на останніх має бути відмітка про дату подання. Аваль може бути наданий у будь-який час: при складанні, видачі та на будь-якому наступному етапі обігу векселя. Аваліст може бути як третьою особою, котра не має відношення до векселя, так і одним із надписантів/векселя.
Аваліст відповідає так само, як і особа, за яку видана гарантія, однак аваліст є боржником "другої черги", і аваль набуває чинності лише після невиконання зобов'язань особою, за яку він виданий. Зобов'язання аваліста є дійсними навіть у тому разі, якщо те зобов'язання, яке він гарантував, виявиться недійсним з будь-якої іншої причини, крім дефекту форми. За умови невиконання клієнтом своїх зобов'язань банк має оплатити вексель. Оплачуючи переказний вексель, банк-аваліст набуває права, що випливають з переказного векселя як проти тієї особи, за котру був виданий аваль, так і проти тих осіб, які зобов'язані перед цією особою.
Наданню авалю має передувати перевірка репутації клієнта, його кредитоспроможності, для чого банки вимагають подання, крім заяви, інших документів, які характеризують фінансовий стан клієнта, а також угоди, на підставі яких були придбані векселі. Також банки встановлюють ліміти з авалювання векселів для кожного платника за векселем, а також кожного пред'явника векселя.
Векселі подаються для авалювання самим клієнтом або іншою особою (векселедержателем) разом із реєстром векселів, пред'явлених для авалювання, щонайменше у двох примірниках. При прийманні реєстрів банк перевіряє відповідність даних пред'явника і реквізитів векселів.
Реєстри з неправильними даними повертаються на переоформлення. Якщо векселі прийняті банком до розгляду, то пред'явнику дається розписка про одержання векселів (зокрема, може даватися на копії реєстру) та призначається день, коли він має з'явитись за векселями. Векселі, що не відповідають вимогам, установленим банком, викреслюються з реєстрів для повернення клієнту.
У разі ухвалення банком позитивного рішення про авалювання всіх або окремих векселів на кожному реєстрі розраховується сума нарахувань, які має сплатити клієнт, а з останнім укладається договір про авалювання, якщо він до цього ще не був укладений. Авальовані та не авальовані векселі повертаються представнику пред'явника під розписку на реєстрах.
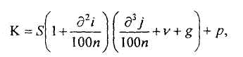
Сума, яка має бути нарахована на користь банку як плата за надання авального кредиту, обчислюється на підставі процентної ставки банку. Крім процентів, за іногородніми авальованими векселями можуть утримуватися комісія, дамно і порто. Також банк може утримувати з позичальника комісію за зобов'язання надати аваль-ний кредит. Така комісія, як правило, розраховується у процентному відношенні до суми, на яку банк зобов'язався забезпечити платіж за векселем, за період дії такого зобов'язання і незалежно від того, чи використав позичальник право на одержання авалю, чи ні. Розрахунок загальної суми винагород банку за авальований вексель може здійснюватися за формулою:

де К — загальна сума винагороди банку за надання авального кредиту; S — номінальна сума векселя; i — процентна ставка, за якою нараховуються проценти на номінальну суму векселя; j — процентна ставка, за якою нараховуються проценти за аваль-ний кредит; V — процентна ставка, за якою нараховується комісія; g — процентна ставка, за якою нараховується дамно; р — сума порто; п — кількість днів року; д1 — кількість днів від дня, з якого нараховуються проценти на номінальну суму векселя, до дня платежу за векселем; д2 — кількість днів від дня авалювання до дня закінчення строку кредиту за векселем.
При настанні строку платежу векселедержатель може звернутися з вимогою про платіж за векселем до банку-аваліста, якщо вексель не був оплачений або був оплачений частково. Крім того, векселедержатель може звернутись до аваліста і до настання строку платежу у випадках:
Банк-аваліст зобов'язаний оплачувати вексель тільки в розмірі тієї суми, на яку він дав аваль. Також банк може сплатити векселедержателю проценти і пеню на повну суму векселя, витрати на опротестування, відсилання повідомлень та інші витрати, якщо вимога про такі пред'явлена банку векселедержателем або надписувачем, який оплатив вексель у порядку регресу.
Банк не зобов'язаний відшкодовувати векселедержателю витрати на опротестування, якщо векселедавець (трасант) або ж він сам зняли з себе відповідальність за такі витрати (зокрема, застереженнями "Оборот без витрат", "Без протесту" або іншими рівнозначними). Банк зобов'язаний платити за авальованим ним векселем у таких випадках:
Якщо з вимогою про платіж до банку звертається не останній векселедержатель, а надписувач, який придбав вексель за регресом, то в цьому разі банк відповідає лише перед тим із надписувачів, який поставив свій підпис після позичальника. Відповідальність банку як аваліста припиняється у разі: — оплати векселя платником; — оплати векселя особою, яка поставила свій підпис раніше позичальника; — закінчення строку позовної давності проти банку-аваліста.
Кошти за авальованим і прийнятим банком до оплати векселем своєчасно перераховуються банком на поточний рахунок векселедержателя або надписувач, який оплатив вексель в порядку регресу. Особа, яка одержала платіж, має надати банку про це розписку. Банк може вимагати, щоб така розписка була вчинена на самому векселі. Після оплати векселя банк-аваліст набуває право регресної вимоги проти особи, за яку він надав аваль, а також проти всіх зобов'язаних перед цією особою осіб як солідарних боржників.
Дата публикации: 29.05.2011